精英家教网 > 初中化学 > 题目详情

工业上常用废铜屑跟热的稀硫酸和氧气反应制取硫酸铜:

2Cu + O2 +2H2SO4=2CuSO4 + 2H2O

现将25.6t废铜屑和368t热的稀硫酸混合,通入足量的氧气,恰好完全反应。试计算:

(1)参加反应的氧气有多少吨?

(2)可制得无水硫酸铜多少吨?

(3)反应后溶液中CuSO4的质量分数。

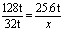
设参加反应的氧气为x;反应制得无水硫酸铜为y;硫酸铜溶液的质量分数为a。

2Cu   +   O2 + 2H2SO4=2CuSO4 + 2H2O    (1分)

                  128t       32t             320t

                  25.6t       x                y             

(1)      x ==6.4t                        (2分)

(2)      y ==64t                        (2分)

(3) a =                                        (1分)

答:略

练习册系列答案
相关习题

科目:初中化学 来源: 题型:

(2002?泉州)工业上常用废铜屑跟热的稀硫酸和氧气反应制取硫酸铜:2Cu+O2+2H2SO4
  △  
.
 
2CuSO4+2H2O,现将25.6t废铜屑和368t热的稀硫酸混合,通入足量的氧气,恰好完全反应.试计算:
(1)参加反应的氧气有多少吨?
(2)可制得无水硫酸铜多少吨?
(3)反应后溶液中CuSO4的质量分数.

查看答案和解析>>

科目:初中化学 来源: 题型:解答题

工业上常用废铜屑跟热的稀硫酸和氧气反应制取硫酸铜:2Cu+O2+2H2SO4数学公式2CuSO4+2H2O,现将25.6t废铜屑和368t热的稀硫酸混合,通入足量的氧气,恰好完全反应.试计算:
(1)参加反应的氧气有多少吨?
(2)可制得无水硫酸铜多少吨?
(3)反应后溶液中CuSO4的质量分数.

查看答案和解析>>

科目:初中化学 来源:泉州 题型:问答题

工业上常用废铜屑跟热的稀硫酸和氧气反应制取硫酸铜:2Cu+O2+2H2SO4
  △  
.
 
2CuSO4+2H2O,现将25.6t废铜屑和368t热的稀硫酸混合,通入足量的氧气,恰好完全反应.试计算:
(1)参加反应的氧气有多少吨?
(2)可制得无水硫酸铜多少吨?
(3)反应后溶液中CuSO4的质量分数.

查看答案和解析>>

科目:初中化学 来源:2002年福建省泉州市中考化学试卷(解析版) 题型:解答题

工业上常用废铜屑跟热的稀硫酸和氧气反应制取硫酸铜:2Cu+O2+2H2SO42CuSO4+2H2O,现将25.6t废铜屑和368t热的稀硫酸混合,通入足量的氧气,恰好完全反应.试计算:
(1)参加反应的氧气有多少吨?
(2)可制得无水硫酸铜多少吨?
(3)反应后溶液中CuSO4的质量分数.

查看答案和解析>>

同步练习册答案