ÎÒ¹úÓÖÓ­À´ÁËÒ»¸öº½Ìì¸ß·å£¬¼Ì¡°ÉñÖÛÁùºÅ¡±ÓîÖæ·É´¬³É¹¦·¢ÉäÖ®ºó£¬¡°ÉñÖÛÆßºÅ¡±ÓÖ·¢ÉäÔÚ¼´£®¡°ÉñÖÛÁùºÅ¡±Ð¯´øÁË50kgµÄÑõÆø£¬¹©ÓԱºôÎüÖ®Óã¬Í¬Ê±»¹ÓÐÒ»Ì×ÍêÕûµÄϵͳÓÃÀ´ÎüÊÕ¶þÑõ»¯Ì¼£®ÓÐЩÓîÖæ·É´¬ÄÚÊÇͨ¹ýÊ¢ÓÐÇâÑõ»¯ï®µÄ¹ýÂËÍøÀ´³ýÈ¥²ÕÄÚËùº¬µÄ¶þÑõ»¯Ì¼£¬·´Ó¦µÄ»¯Ñ§·½³ÌʽÈçÏ£º
2LiOH+CO2¨TLi2CO3+H2O
£¨1£©ÊÔ¼ÆËã1gÇâÑõ»¯ï®ËùÄÜÎüÊÕ¶þÑõ»¯Ì¼µÄÖÊÁ¿£®
£¨2£©ÈôÓÃÇâÑõ»¯¼ØÀ´´úÌæÇâÑõ»¯ï®£¬ÊÔ¼ÆËã1gÇâÑõ»¯¼ØËùÄÜÎüÊյĶþÑõ»¯Ì¼µÄÖÊÁ¿£®
£¨·´Ó¦µÄ»¯Ñ§·½³ÌʽΪ2KOH+CO2¨TK2CO2+H2O£©
£¨3£©ÀûÓã¨1£©ºÍ£¨2£©ËùµÃµÄ½á¹û£¬ÊÔ½âÊÍΪʲôÓîÖæ·É´¬Ñ¡ÓÃÇâÑõ»¯ï®À´ÎüÊÕ¶þÑõ»¯Ì¼±ÈÓÃÇâÑõ»¯¼Ø¸üºÃ£¿
£¨4£©ÈôÿλÓԱÿÌìËùºô³öµÄ¶þÑõ»¯Ì¼Æ½¾ùÊÇ502g£º£¬ÏÖÓÐ4λÓԱÔÚ½øÐÐÒ»ÏîΪÆÚ7ÌìµÄÌ«¿ÕÈÎÎñ£¬ÊÔ¼ÆËãÔÚÓîÖæ·É´¬ÉÏӦЯ´øÇâÑõ»¯ï®µÄÖÊÁ¿£®£¨ÔÚÓîÖæ·É´¬ÄÚµÄÎÂ¶ÈºÍÆøÑ¹Ï£¬¶þÑõ»¯Ì¼ÆøÌåµÄÃܶÈΪ1.833g/L£©
¡¾´ð°¸¡¿·ÖÎö£º¸ù¾Ý»¯Ñ§·½³Ìʽ¿ÉÒÔ·Ö±ðÇó³ö1gÇâÑõ»¯ï®ºÍ1gÇâÑõ»¯¼ØËùÏûºÄµÄ¶þÑõ»¯Ì¼µÄÖÊÁ¿£»È»ºó±È½ÏµÈÖÊÁ¿µÄÇâÑõ»¯ï®ºÍÇâÑõ»¯¼ØËùÏûºÄ¶þÑõ»¯Ì¼µÄ¶àÉÙ£¬¾Í¿ÉÒԵõ½ÎÊÌ⣨3£©µÄ½áÂÛ£»×îºó¸ù¾ÝÎÊÌ⣨1£©µÄ¼ÆËã½á¹ûÇó³öÎÊÌ⣨4£©£®
½â´ð£º½â£º£¨1£©Éè1gÇâÑõ»¯ï®ËùÄÜÎüÊյĶþÑõ»¯Ì¼µÄÖÊÁ¿Îªx£®
2LiOH+CO2¨TLi2CO3+H2O
48 44
1g x

x=0.92g
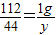
£¨2£©Éè1gÇâÑõ»¯¼ØÄÜÎüÊÕ¶þÑõ»¯Ì¼µÄÖÊÁ¿Îªy
2KOH+CO2¨TK2CO3+H2O
112  44
1g    y

y=0.39g
£¨3£©µÈÖÊÁ¿µÄÇâÑõ»¯ï®ÎüÊյĶþÑõ»¯Ì¼±ÈÇâÑõ»¯¼Ø¶à£¬ÕâÑù¿ÉÒÔ¼õÇáÓîÖæ·É´¬µÄÖÊÁ¿£®
£¨4£©ÉèÓîÖæ·É´¬ÉÏӦЯ´øµÄÇâÑõ»¯ï®µÄÖÊÁ¿Îªz£®
Éè1gÇâÑõ»¯ï®ËùÄÜÎüÊյĶþÑõ»¯Ì¼µÄÖÊÁ¿Îªx£®
2LiOH+CO2¨TLi2CO3+H2O
48 44
z  502g×4×7
=
z=15333g
´ð£¨ÂÔ£©
µãÆÀ£ºÔÚ½â´ðÎÊÌ⣨4£©Ê±£¬²»±ØÖØÐ´úÈ뻯ѧ·½³Ìʽ½øÐмÆË㣬ÒÔÌ⣨1£©µÄ½á¹ûΪ»ù´¡£¬¼ÆËã½ÏΪ¼òµ¥£®¸ù¾Ý»¯Ñ§·½³ÌʽÖи÷ÎïÖʵÄÖÊÁ¿±È¹ØÏµ£¬Ö»ÄÜÇó³ö·´Ó¦Îï»òÉú³ÉÎïµÄÖÊÁ¿£¬¶ø²»ÄÜÖ±½ÓÇó³öÆäÌå»ý£¬´úÈëµÄÒÑÖªÁ¿Ò²±ØÐëÊÇÎïÖʵÄÖÊÁ¿£¬¶ø²»ÄÜÊÇÌå»ý£®
Á·Ï°²áϵÁдð°¸
Ïà¹ØÏ°Ìâ

¿ÆÄ¿£º³õÖл¯Ñ§ À´Ô´£º ÌâÐÍ£º

ÎÒ¹úÓÖÓ­À´ÁËÒ»¸öº½Ìì¸ß·å£¬¼Ì¡°ÉñÖÛÁùºÅ¡±ÓîÖæ·É´¬³É¹¦·¢ÉäÖ®ºó£¬¡°ÉñÖÛÆßºÅ¡±ÓÖ·¢ÉäÔÚ¼´£®¡°ÉñÖÛÁùºÅ¡±Ð¯´øÁË50kgµÄÑõÆø£¬¹©ÓԱºôÎüÖ®Óã¬Í¬Ê±»¹ÓÐÒ»Ì×ÍêÕûµÄϵͳÓÃÀ´ÎüÊÕ¶þÑõ»¯Ì¼£®ÓÐЩÓîÖæ·É´¬ÄÚÊÇͨ¹ýÊ¢ÓÐÇâÑõ»¯ï®µÄ¹ýÂËÍøÀ´³ýÈ¥²ÕÄÚËùº¬µÄ¶þÑõ»¯Ì¼£¬·´Ó¦µÄ»¯Ñ§·½³ÌʽÈçÏ£º
2LiOH+CO2¨TLi2CO3+H2O
£¨1£©ÊÔ¼ÆËã1gÇâÑõ»¯ï®ËùÄÜÎüÊÕ¶þÑõ»¯Ì¼µÄÖÊÁ¿£®
£¨2£©ÈôÓÃÇâÑõ»¯¼ØÀ´´úÌæÇâÑõ»¯ï®£¬ÊÔ¼ÆËã1gÇâÑõ»¯¼ØËùÄÜÎüÊյĶþÑõ»¯Ì¼µÄÖÊÁ¿£®
£¨·´Ó¦µÄ»¯Ñ§·½³ÌʽΪ2KOH+CO2¨TK2CO2+H2O£©
£¨3£©ÀûÓã¨1£©ºÍ£¨2£©ËùµÃµÄ½á¹û£¬ÊÔ½âÊÍΪʲôÓîÖæ·É´¬Ñ¡ÓÃÇâÑõ»¯ï®À´ÎüÊÕ¶þÑõ»¯Ì¼±ÈÓÃÇâÑõ»¯¼Ø¸üºÃ£¿
£¨4£©ÈôÿλÓԱÿÌìËùºô³öµÄ¶þÑõ»¯Ì¼Æ½¾ùÊÇ502L£¬ÏÖÓÐ4λÓԱÔÚ½øÐÐÒ»ÏîΪÆÚ7ÌìµÄÌ«¿ÕÈÎÎñ£¬ÊÔ¼ÆËãÔÚÓîÖæ·É´¬ÉÏӦЯ´øÇâÑõ»¯ï®µÄÖÊÁ¿£®£¨ÔÚÓîÖæ·É´¬ÄÚµÄÎÂ¶ÈºÍÆøÑ¹Ï£¬¶þÑõ»¯Ì¼ÆøÌåµÄÃܶÈΪ1.833g/L£©

²é¿´´ð°¸ºÍ½âÎö>>

¿ÆÄ¿£º³õÖл¯Ñ§ À´Ô´£º ÌâÐÍ£º

ÎÒ¹úÓÖÓ­À´ÁËÒ»¸öº½Ìì¸ß·å£¬¼Ì¡°ÉñÖÛÁùºÅ¡±ÓîÖæ·É´¬³É¹¦·¢ÉäÖ®ºó£¬¡°ÉñÖÛÆßºÅ¡±ÓÖ·¢ÉäÔÚ¼´¡£¡°ÉñÖÛÁùºÅ¡±Ð¯´øÁË50kgµÄÑõÆø£¬¹©ÓԱºôÎüÖ®Óã¬Í¬Ê±»¹ÓÐÒ»Ì×ÍêÕûµÄϵͳÓÃÀ´ÎüÊÕ¶þÑõ»¯Ì¼¡£ÓÐЩÓîÖæ·É´¬ÄÚÊÇͨ¹ýÊ¢ÓÐÇâÑõ»¯ï®µÄ¹ýÂËÍøÀ´³ýÈ¥²ÕÄÚËùº¬µÄ¶þÑõ»¯Ì¼£¬·´Ó¦µÄ»¯Ñ§·½³ÌʽÈçÏ£º

                2LiOH£«CO2=== Li2CO3£«H2O

   £¨1£©ÊÔ¼ÆËã1gÇâÑõ»¯ï®ËùÄÜÎüÊÕ¶þÑõ»¯Ì¼µÄÖÊÁ¿¡£

   £¨2£©ÈôÓÃÇâÑõ»¯¼ØÀ´´úÌæÇâÑõ»¯ï®£¬ÊÔ¼ÆËã1gÇâÑõ»¯¼ØËùÄÜÎüÊյĶþÑõ»¯Ì¼µÄÖÊÁ¿¡£

   £¨·´Ó¦µÄ»¯Ñ§·½³ÌʽΪ2KOH£«CO2===K2CO2£«H2O£©

£¨3£©ÀûÓã¨1£©ºÍ£¨2£©ËùµÃµÄ½á¹û£¬ÊÔ½âÊÍΪʲôÓîÖæ·É´¬Ñ¡ÓÃÇâÑõ»¯ï®À´ÎüÊÕ¶þÑõ»¯Ì¼±ÈÓÃÇâÑõ»¯¼Ø¸üºÃ£¿

£¨4£©ÈôÿλÓԱÿÌìËùºô³öµÄ¶þÑõ»¯Ì¼Æ½¾ùÊÇ502£º£¬ÏÖÓÐ4λÓԱÔÚ½øÐÐÒ»ÏîΪÆÚ7ÌìµÄÌ«¿ÕÈÎÎñ£¬ÊÔ¼ÆËãÔÚÓîÖæ·É´¬ÉÏӦЯ´øÇâÑõ»¯ï®µÄÖÊÁ¿¡££¨ÔÚÓîÖæ·É´¬ÄÚµÄÎÂ¶ÈºÍÆøÑ¹Ï£¬¶þÑõ»¯Ì¼ÆøÌåµÄÃܶÈΪ1.833g/L£©

²é¿´´ð°¸ºÍ½âÎö>>

¿ÆÄ¿£º³õÖл¯Ñ§ À´Ô´£º ÌâÐÍ£º

ÎÒ¹úÓÖÓ­À´ÁËÒ»¸öº½Ìì¸ß·å£¬¼Ì¡°ÉñÖÛÁùºÅ¡±ÓîÖæ·É´¬³É¹¦·¢ÉäÖ®ºó£¬¡°ÉñÖÛÆßºÅ¡±ÓÖ·¢ÉäÔÚ¼´¡£¡°ÉñÖÛÁùºÅ¡±Ð¯´øÁË50kgµÄÑõÆø£¬¹©ÓԱºôÎüÖ®Óã¬Í¬Ê±»¹ÓÐÒ»Ì×ÍêÕûµÄϵͳÓÃÀ´ÎüÊÕ¶þÑõ»¯Ì¼¡£ÓÐЩÓîÖæ·É´¬ÄÚÊÇͨ¹ýÊ¢ÓÐÇâÑõ»¯ï®µÄ¹ýÂËÍøÀ´³ýÈ¥²ÕÄÚËùº¬µÄ¶þÑõ»¯Ì¼£¬·´Ó¦µÄ»¯Ñ§·½³ÌʽÈçÏ£º

                2LiOH£«CO2=== Li2CO3£«H2O

   £¨1£©ÊÔ¼ÆËã1gÇâÑõ»¯ï®ËùÄÜÎüÊÕ¶þÑõ»¯Ì¼µÄÖÊÁ¿¡£

   £¨2£©ÈôÓÃÇâÑõ»¯¼ØÀ´´úÌæÇâÑõ»¯ï®£¬ÊÔ¼ÆËã1gÇâÑõ»¯¼ØËùÄÜÎüÊյĶþÑõ»¯Ì¼µÄÖÊÁ¿¡£

   £¨·´Ó¦µÄ»¯Ñ§·½³ÌʽΪ2KOH£«CO2===K2CO2£«H2O£©

£¨3£©ÀûÓã¨1£©ºÍ£¨2£©ËùµÃµÄ½á¹û£¬ÊÔ½âÊÍΪʲôÓîÖæ·É´¬Ñ¡ÓÃÇâÑõ»¯ï®À´ÎüÊÕ¶þÑõ»¯Ì¼±ÈÓÃÇâÑõ»¯¼Ø¸üºÃ£¿

£¨4£©ÈôÿλÓԱÿÌìËùºô³öµÄ¶þÑõ»¯Ì¼Æ½¾ùÊÇ502£º£¬ÏÖÓÐ4λÓԱÔÚ½øÐÐÒ»ÏîΪÆÚ7ÌìµÄÌ«¿ÕÈÎÎñ£¬ÊÔ¼ÆËãÔÚÓîÖæ·É´¬ÉÏӦЯ´øÇâÑõ»¯ï®µÄÖÊÁ¿¡££¨ÔÚÓîÖæ·É´¬ÄÚµÄÎÂ¶ÈºÍÆøÑ¹Ï£¬¶þÑõ»¯Ì¼ÆøÌåµÄÃܶÈΪ1.833g/L£©

²é¿´´ð°¸ºÍ½âÎö>>

¿ÆÄ¿£º³õÖл¯Ñ§ À´Ô´£º ÌâÐÍ£º

ÎÒ¹úÓÖÓ­À´ÁËÒ»¸öº½Ìì¸ß·å£¬¼Ì¡°ÉñÖÛÁùºÅ¡±ÓîÖæ·É´¬³É¹¦·¢ÉäÖ®ºó£¬¡°ÉñÖÛÆßºÅ¡±ÓÖ·¢ÉäÔÚ¼´¡£¡°ÉñÖÛÁùºÅ¡±Ð¯´øÁË50kgµÄÑõÆø£¬¹©ÓԱºôÎüÖ®Óã¬Í¬Ê±»¹ÓÐÒ»Ì×ÍêÕûµÄϵͳÓÃÀ´ÎüÊÕ¶þÑõ»¯Ì¼¡£ÓÐЩÓîÖæ·É´¬ÄÚÊÇͨ¹ýÊ¢ÓÐÇâÑõ»¯ï®µÄ¹ýÂËÍøÀ´³ýÈ¥²ÕÄÚËùº¬µÄ¶þÑõ»¯Ì¼£¬·´Ó¦µÄ»¯Ñ§·½³ÌʽÈçÏ£º

                2LiOH£«CO2=== Li2CO3£«H2O

   £¨1£©ÊÔ¼ÆËã1gÇâÑõ»¯ï®ËùÄÜÎüÊÕ¶þÑõ»¯Ì¼µÄÖÊÁ¿¡£

   £¨2£©ÈôÓÃÇâÑõ»¯¼ØÀ´´úÌæÇâÑõ»¯ï®£¬ÊÔ¼ÆËã1gÇâÑõ»¯¼ØËùÄÜÎüÊյĶþÑõ»¯Ì¼µÄÖÊÁ¿¡£

   £¨·´Ó¦µÄ»¯Ñ§·½³ÌʽΪ2KOH£«CO2===K2CO2£«H2O£©

£¨3£©ÀûÓã¨1£©ºÍ£¨2£©ËùµÃµÄ½á¹û£¬ÊÔ½âÊÍΪʲôÓîÖæ·É´¬Ñ¡ÓÃÇâÑõ»¯ï®À´ÎüÊÕ¶þÑõ»¯Ì¼±ÈÓÃÇâÑõ»¯¼Ø¸üºÃ£¿

£¨4£©ÈôÿλÓԱÿÌìËùºô³öµÄ¶þÑõ»¯Ì¼Æ½¾ùÊÇ502£º£¬ÏÖÓÐ4λÓԱÔÚ½øÐÐÒ»ÏîΪÆÚ7ÌìµÄÌ«¿ÕÈÎÎñ£¬ÊÔ¼ÆËãÔÚÓîÖæ·É´¬ÉÏӦЯ´øÇâÑõ»¯ï®µÄÖÊÁ¿¡££¨ÔÚÓîÖæ·É´¬ÄÚµÄÎÂ¶ÈºÍÆøÑ¹Ï£¬¶þÑõ»¯Ì¼ÆøÌåµÄÃܶÈΪ1.833g/L£©

²é¿´´ð°¸ºÍ½âÎö>>

¿ÆÄ¿£º³õÖл¯Ñ§ À´Ô´£ºÍ¬²½Ìâ ÌâÐÍ£º¼ÆËãÌâ

ÎÒ¹úÓÖÓ­À´ÁËÒ»¸öº½Ìì¸ß·å£¬¼Ì¡°ÉñÖÛÁùºÅ¡±ÓîÖæ·É´¬³É¹¦·¢ÉäÖ®ºó£¬¡°ÉñÖÛÆßºÅ¡±ÓÖ·¢ÉäÔÚ¼´¡£¡°ÉñÖÛÁùºÅ¡±Ð¯´øÁË50kgµÄÑõÆø£¬¹©ÓԱºôÎüÖ®Óã¬Í¬Ê±»¹ÓÐÒ»Ì×ÍêÕûµÄϵͳÓÃÀ´ÎüÊÕ¶þÑõ»¯Ì¼¡£ÓÐЩÓîÖæ·É´¬ÄÚÊÇͨ¹ýÊ¢ÓÐÇâÑõ»¯ï®µÄ¹ýÂËÍøÀ´³ýÈ¥²ÕÄÚËùº¬µÄ¶þÑõ»¯Ì¼£¬·´Ó¦µÄ»¯Ñ§·½³ÌʽÈçÏ£º                 
2LiOH£«CO2==Li2CO3£«H2O    
£¨1£©ÊÔ¼ÆËã1gÇâÑõ»¯ï®ËùÄÜÎüÊÕ¶þÑõ»¯Ì¼µÄÖÊÁ¿¡£    
£¨2£©ÈôÓÃÇâÑõ»¯¼ØÀ´´úÌæÇâÑõ»¯ï®£¬ÊÔ¼ÆËã1gÇâÑõ»¯¼ØËùÄÜÎüÊյĶþÑõ»¯Ì¼µÄÖÊÁ¿¡£    £¨·´Ó¦µÄ»¯Ñ§·½³ÌʽΪ2KOH£«CO2==K2CO2£«H2O£©
£¨3£©ÀûÓã¨1£©ºÍ£¨2£©ËùµÃµÄ½á¹û£¬ÊÔ½âÊÍΪʲôÓîÖæ·É´¬Ñ¡ÓÃÇâÑõ»¯ï®À´ÎüÊÕ¶þÑõ»¯Ì¼±ÈÓÃÇâÑõ»¯¼Ø¸üºÃ£¿
£¨4£©ÈôÿλÓԱÿÌìËùºô³öµÄ¶þÑõ»¯Ì¼Æ½¾ùÊÇ502£º£¬ÏÖÓÐ4λÓԱÔÚ½øÐÐÒ»ÏîΪÆÚ7ÌìµÄÌ«¿ÕÈÎÎñ£¬ÊÔ¼ÆËãÔÚÓîÖæ·É´¬ÉÏӦЯ´øÇâÑõ»¯ï®µÄÖÊÁ¿¡££¨ÔÚÓîÖæ·É´¬ÄÚµÄÎÂ¶ÈºÍÆøÑ¹Ï£¬¶þÑõ»¯Ì¼ÆøÌåµÄÃܶÈΪ1.833g/L£©

²é¿´´ð°¸ºÍ½âÎö>>

ͬ²½Á·Ï°²á´ð°¸