【答案】
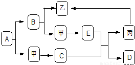
分析:A与B、D与E的组成元素相同,组成元素相同的物质有过氧化氢和水;一氧化碳和二氧化碳,由D能使澄清的石灰水变浑浊,可确定物质D为CO
2;由D与E的组成元素也相同,可判断E为CO;A与B的组成元素相同,可判断A为过氧化氢、B为水;则甲为氧气,由B分解生成氧气和乙,则乙是氢气;根据反应C、丙均为黑色粉末,C和E在高温条件下可生成丙和D,可判断黑色粉末C为四氧化三铁而黑色粉末丙为铁粉;通过以上分析,可判断确定转化关系图中的各种物质,从而解决问题.
解答:解:由D能使澄清的石灰水变浑浊,可确定物质D为CO
2;由D与E的组成元素也相同,可判断E为CO;A与B的组成元素相同,可判断A为过氧化氢、B为水;过氧化氢分解产生水和氧气,则甲为氧气,由B水分解生成氧气和乙,水分解生成氢气和氧气,则乙是氢气;丙能制取氢气,活泼金属与酸反应能制取氢气,则丙为活泼金属且为黑色,黑色的活泼金属为铁粉,故丙为铁粉;E(CO)与黑色固体C反应能生成D(CO
2)和丙(铁粉),铁的氧化物中只有四氧化三铁是黑色固体,故C是四氧三铁.由此可判断出A、H
2O
2;B、H
2O;甲、O
2;C、Fe
3O
4;E、CO;丙、Fe;D、CO
2;乙、H
2(1)D能使澄清的石灰水变浑浊,D为二氧化碳,化学式为CO
2
(2)由上述分析可知:A是双氧水,双氧水分解生成水和氧气,化学方程式为2H
2O
2
2H
2O+O
2↑
甲是氧气,当氧气不充足时,碳燃烧生成一氧化碳,化学方程式为2C+O
2
2CO
C为四氧化三铁,铁丝在氧气中燃烧生成四氧化三铁,化学方程式为3Fe+2O
2 
Fe
3O
4丙为铁,铁和盐酸反应生成氯化亚铁和氢气,化学方程式为:Fe+2HCl═FeCl
2+H
2↑
C和E反应即一氧化碳和四氧化三铁反应生成铁和二氧化碳,化学方程式为:Fe
3O
4+4CO

3Fe+4CO
2故答案为:(1)H
2O
2(2)2H
2O
2
2H
2O+O
2↑ 2C+O
2
2CO 3Fe+2O
2 
Fe
3O
4Fe+2HCl═FeCl
2+H
2↑ Fe
3O
4+4CO

3Fe+4CO
2点评:根据物质的特殊性质首先确定转化关系图中的某物质,然后根据转化关系或物质组成、颜色特点,进行逆推而完成对转化关系图中物质的判断.