精英家教网 > 初中化学 > 题目详情
2011年中国空,且飞船与。标志着我国航天科学  叩开了空间站时代的大门。偏二甲肼( C2H8N2)及四氧化二氮是火箭常用的燃料和氧化剂,秒内会燃烧2吨燃料,然后才能积累到一定的动力实现起飞。涉及的反应方程式为:C2H8N2 +2N2O42CO2+4H2O+3X
(1)X的化学式为____,
(2)“神八”在点火后的4秒内产生二氧化碳的质量是多少?(计算结果保留一位小数)
(1)N2
(2)解:设产生二氧化碳的质量为x
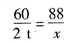
C2H8N2 +2N2O42CO2+4H2O+3N2
 60                              88
 2t                                x
x=2.9 t
答:产生二氧化碳的质量是2.9吨。
练习册系列答案
相关习题

同步练习册答案