精英家教网 > 初中化学 > 题目详情
黄铜是锌和铜的合金,可以用来制造机器零件及日常用品.为了测定某粉末状黄铜样品中锌的质量分数,取10g这种样品放入烧杯中,再将40g稀盐酸分四次加入到该烧杯中,均充分反应.测得的实验数据如下表:
分析表中数据,完成下列问题:
(1)在第 ____次实验结束时样品中的锌就已完全反应.
(2)计算该黄铜样品中锌的质量分数.
(3)计算所用稀盐酸的溶质质量分数.
(1)3
(2)由第三次和第四次剩余固体质量相等可知,剩余的6.7g固体即为样品中铜的质量,故锌的质量为样品质量减去铜的质量,即为10g﹣6.7g=3.3g,
故黄铜中锌的质量分数为:×100%=33%;
答:该黄铜样品中锌的质量分数33%.
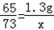
(3)根据金属活动性可知,铜排在氢后,不能与稀盐酸发生反应,故发生反应的是锌,减少的固体的质量就是参加反应的锌的质量,由题目可知:第二次反应消耗锌的质量=8.7g﹣7.4g=1.3g,设稀盐酸中溶质的质量为x
Zn+2HCl==ZnCl2+H2↑
65    73
1.3g   x

x=1.46g
稀盐酸中溶质的质量分数为×100%=14.6%
答:所用稀盐酸的质量分数为14.6%.
练习册系列答案
相关习题

科目:初中化学 来源: 题型:阅读理解

(2012?潍坊)小娜及学习小组的同学在老师的指导下对黄铜中铜和锌的含量及其性质展开了探究.
【查阅资料】
HCl+AgNO3=AgCl↓+HNO3,AgCl是一种白色沉淀,这个反应在化学上用于检验和鉴别.
【提出问题】测定黄铜中锌、铜的质量分数.
【实验原理及实验方案设计】(略).
【探究实验】
①先将黄铜在热碱液中浸泡一段时间,以除去表面的油污.然后再放在稀盐酸中浸泡片刻,其目的是
除去合金表面的氧化膜
除去合金表面的氧化膜
.用蒸馏水清洗干净,干燥,取少量研碎,称取质量为ag.
②将ag试样放入小烧杯中,加入足量稀盐酸,搅拌使其充分反应.
③将小烧杯中的混合物过滤,
洗涤、干燥
洗涤、干燥
(请将此实验步骤补充完整).
④称取固体的质量为bg.
⑤计算出黄铜中锌和铜的质量分数.
【反思与评价】
在步骤1中,若试样用蒸馏水洗涤之后,不干燥,则计算出合金中锌的质量分数将
偏大
偏大
(填“偏大”、“偏小”或“不受影响”)
【拓展探究】
①重复【探究实验】步骤1.
②将ag试样放入一定量的硝酸银溶液中,使其充分反应后过滤,得到固体和蓝色滤液,并对滤液的组成进行探究.
(1)锌和硝酸盐溶液反应的化学方程式是
Zn+2AgN03=Zn(N032+2Ag
Zn+2AgN03=Zn(N032+2Ag

(2)同学们对蓝色滤液中所含的溶质做出多种猜想,其中只有两种猜想可能成立,这两种猜想是:①溶质为硝酸锌和硝酸铜;②溶质为
硝酸锌、硝酸铜和硝酸银
硝酸锌、硝酸铜和硝酸银

(3)设计两种实验方案来验证以上猜想.
方案 实验操作 实验现象 结论
方案一 取少量滤液于试管中,在滤液中插入一根铜丝
铜丝表面无变化
铜丝表面无变化
猜想①成立
铜丝表面有银白色固体析出
铜丝表面有银白色固体析出
猜想②成立
方案二
取少量滤液于试管中,滴加几滴稀盐酸
取少量滤液于试管中,滴加几滴稀盐酸
滤液无明显变化
滤液无明显变化
猜想①成立
生成白色沉淀
生成白色沉淀
猜想②成立

查看答案和解析>>

科目:初中化学 来源: 题型:

小娜及学习小组的同学在老师的指导下对黄铜中铜和锌的含量及其性质展开了实验探究.
【实验目的】黄铜中锌、铜的质量分数.
【实验步骤】
(1)用98%的浓硫酸配制实验所需的l0%的硫酸溶液.现有烧杯、玻璃棒、胶头滴管,还需要的仪器是
量筒
量筒
;在稀释时,一定要
把浓硫酸沿着器壁慢慢注入水中并用玻璃棒不断地搅拌
把浓硫酸沿着器壁慢慢注入水中并用玻璃棒不断地搅拌
,并不断搅拌.
(2)用化学方法将黄铜表面油污和氧化膜除去,再用蒸馏水清洗干净并干燥,研碎成试样.
(3)将a g试样放入小烧杯中,加入足量稀硫酸,搅拌使其充分反应.
(4)将小烧杯中的混合物过滤,再将所得固体洗净干燥.
(5)称取固体的质量为b g.
(6)计算出黄铜中锌和铜的质量分数.
【反思与评价】
Ⅰ.在实验步骤(2)中,若用蒸馏水洗涤之后,试样未经干燥,则计算出合金中锌的质量分数将会
偏大
偏大
(填“偏大”、“偏小”或“不受影响”).
Ⅱ.取a g试样放入一定量的硝酸银溶液中,使其充分反应后过滤,得到固体和蓝色滤液,并对滤液的组成进行探究.
同学们对蓝色滤液中所含的溶质做出多种猜想,其中只有两种猜想可能成立,这两种猜想是:①溶质为硝酸锌和硝酸铜;②溶质为
硝酸锌、硝酸铜和硝酸银
硝酸锌、硝酸铜和硝酸银

查看答案和解析>>

科目:初中化学 来源: 题型:

(2012?遂宁)黄铜是锌和铜的合金,可以用来制造机器零件及日常用品.为了测定某粉末状黄铜样品中锌的质量分数,取10g这种样品放入烧杯中,再将40g稀盐酸分四次加入到该烧杯中,均充分反应.测得的实验数据如下表:
实验次数 1 2 3 4
稀盐酸的用量 10g 10g 10g 10g
剩余固体的质量 8.7g 7.4g 6.7g 6.7g
分析表中数据,完成下列问题:
(1)在第
3
3
次实验结束时样品中的锌就已完全反应.
(2)计算该黄铜样品中锌的质量分数.
(3)计算所用稀盐酸的溶质质量分数.

查看答案和解析>>

科目:初中化学 来源:2012年四川省遂宁市中考化学试卷(解析版) 题型:填空题

黄铜是锌和铜的合金,可以用来制造机器零件及日常用品.为了测定某粉末状黄铜样品中锌的质量分数,取10g这种样品放入烧杯中,再将40g稀盐酸分四次加入到该烧杯中,均充分反应.测得的实验数据如下表:
实验次数1234
稀盐酸的用量10g10g10g10g
剩余固体的质量8.7g7.4g6.7g6.7g
分析表中数据,完成下列问题:
(1)在第    次实验结束时样品中的锌就已完全反应.
(2)计算该黄铜样品中锌的质量分数.
(3)计算所用稀盐酸的溶质质量分数.

查看答案和解析>>

同步练习册答案