精英家教网 > 初中化学 > 题目详情
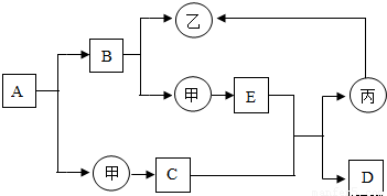
如图是初中化学中常见物质间的转化关系,其中甲、乙、丙为单质;A、B、C、D、E为化合物,且A与B的组成元素相同,D与E的组成元素也相同.已知C、丙均为黑色粉末,C和E在高温条件下可生成丙和D,D能使澄清的石灰水变浑浊.其余反应条件、部分反应物和生成物均已略去.
试推断:
(1)A物质的化学式______;
(2)写出下列化学方程式:
B→甲+乙:______ 2H2↑+O2
【答案】分析:A与B、D与E的组成元素相同,组成元素相同的物质有过氧化氢和水;一氧化碳和二氧化碳,由D能使澄清的石灰水变浑浊,可确定物质D为CO2;由D与E的组成元素也相同,可判断E为CO;A与B的组成元素相同,可判断A为过氧化氢、B为水;则甲为氧气,由B分解生成氧气和乙,则乙是氢气;根据反应C、丙均为黑色粉末,C和E在高温条件下可生成丙和D,可判断黑色粉末C为四氧化三铁而黑色粉末丙为铁粉;通过以上分析,可判断确定转化关系图中的各种物质,从而解决问题.
解答:解:由D能使澄清的石灰水变浑浊,可确定物质D为CO2;由D与E的组成元素也相同,可判断E为CO;A与B的组成元素相同,可判断A为过氧化氢、B为水;过氧化氢分解产生水和氧气,则甲为氧气,由B水分解生成氧气和乙,水分解生成氢气和氧气,则乙是氢气;丙能制取氢气,活泼金属与酸反应能制取氢气,则丙为活泼金属且为黑色,黑色的活泼金属为铁粉,故丙为铁粉;E(CO)与黑色固体C反应能生成D(CO2)和丙(铁粉),铁的氧化物中只有四氧化三铁是黑色固体,故C是四氧三铁.由此可判断出A、H2O2;B、H2O;甲、O2;C、Fe3O4;E、CO;丙、Fe;D、CO2;乙、H2
根据化学方程式的书写原则正确写出化学方程式.
故答案为:(1)H2O2
(2)2H2O 2H2↑+O2↑     2C+O22CO       3Fe+2O2Fe3O4
点评:根据物质的特殊性质首先确定转化关系图中的某物质,然后根据转化关系或物质组成、颜色特点,进行逆推而完成对转化关系图中物质的判断.
练习册系列答案
相关习题

科目:初中化学 来源: 题型:

精英家教网如图是初中化学中常见物质间的转化关系,其中甲、乙、丙为单质;A、B、C、D、E为化合物,且A与B的组成元素相同,D与E的组成元素也相同.已知C、丙均为黑色粉末,C和E在高温条件下反应可生成丙和D,其余反应条件、部分反应物和生成物均已略去.试推断:
(1)写出有关物质的化学式:
A
 
、B
 
、乙
 
、E
 

(2)写出下列化学方程式:
甲→C:
 

C+E→丙+D:
 

查看答案和解析>>

科目:初中化学 来源: 题型:

精英家教网如图是初中化学中常见物质间的转化关系,其中甲、乙、丙为单质;A、B、C、D、E为化合物,且A与B的组成元素相同,D与E的组成元素也相同.已知C、丙均为黑色粉末,C和E在高温条件下可生成丙和D,D能使澄清的石灰水变浑浊.其余反应条件、部分反应物和生成物均已略去.试推断:
(1)D物质的化学式
 

(2)写出下列化学方程式:
A→甲+B:
 

甲→E:
 

甲→C:
 

查看答案和解析>>

科目:初中化学 来源: 题型:

如图是初中化学中常见物质间的转化关系,其中C、D、G为单质,且G是目前世界年产量最高的金属,其余为化合物.A是地球上最多的液态氧化物,F与H的组成元素相同.J不溶于水,是常见的重要的建筑材料(反应条件、部分反应物和生成物均已略去).
(1)写出有关物质的化学式B
CaO
CaO
、D
H2
H2

(2)C→F反应的基本类型是
化合反应
化合反应

(3)写出E+F→G+H的化学方程式
3CO+Fe2O3
 高温 
.
 
2Fe+3CO2
3CO+Fe2O3
 高温 
.
 
2Fe+3CO2

(4)写出H+I→J+A的化学方程式
CO2+Ca(OH)2=CaCO3↓+H2O
CO2+Ca(OH)2=CaCO3↓+H2O

查看答案和解析>>

科目:初中化学 来源: 题型:

如图是初中化学中常见物质间的转化关系,其中,D是常用的补钙剂,E是生活中常用的调味剂、防腐剂.在通常情况下,F、G是组成元素相同的两种气体,Q、R都是黑色固体(部分反应条件略去),试回答下列问题:
(1)B俗称
纯碱
纯碱
,G的化学式为
CO
CO

(2)反应①的化学方程式为:
CaCl2+Na2CO3=2NaCl+CaCO3
CaCl2+Na2CO3=2NaCl+CaCO3

(3)反应④的基本反应类型是
化合反应
化合反应
;从能量变化角度该反应是
吸热
吸热
(填“放热”或“吸热”)反应.

查看答案和解析>>

科目:初中化学 来源: 题型:

精英家教网如图是初中化学中常见物质间的转化关系,其中甲、乙为气态单质,丙为固态单质;A、B、C均为氧化物,常温下B为液态.化合物D的水溶液呈浅绿色.
(1)写出有关物质的化学式:A
 
、X
 

(2)指出反应④在生产实际中的应用
 
:(举一例说明);
(3)将A、C两种氧化物区别开来,可使用的一种溶液为
 
(填名称);
(4)写出下列反应的化学方程式:④
 
.⑤
 

查看答案和解析>>

同步练习册答案