精英家教网 > 初中化学 > 题目详情
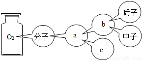
知识梳理有助于我们对已学知识的巩固,如图是某同学学习物质结构层次后已氧气为例进行的梳理,下列选项中与a、b、c对应的是( )

A.原子、原子核、核外电子
B.原子核、原子、核外电子
C.原子、核外电子、原子核
D.核外电子、原子核、原子
【答案】分析:根据分子、原子的构成分析,分子是由原子构成的,原子是由原子核和电子构成,原子核是由质子和中子构成的.
解答:解:由示意图可知,质子和中子构成了b,b为原子核,原子核和电子构成了原子,所以c是核外电子,原子构成了根子,所以a是原子,故A正确,B、C、D错误.
故选:A.
点评:本题主要考查了分子、原子的构成,属于基础的知识,难度不大.
练习册系列答案
相关习题

科目:初中化学 来源: 题型:

(2011?湖州)知识梳理有助于我们对已学知识的巩固,如图是某同学学习物质结构层次后已氧气为例进行的梳理,下列选项中与a、b、c对应的是(  )

查看答案和解析>>

科目:初中化学 来源: 题型:

知识梳理有助于我们对已学知识的巩固,如图是某同学学习物质结构层次后以氧气为例进行的梳理,下列选项中与a、b、c相对应的是(  )

查看答案和解析>>

科目:初中化学 来源: 题型:

知识梳理有助于我们对已学知识的巩固,图是某同学学习物质结构知识后,以二氧化碳为例进行的梳理,下列选项中与a、b、c相对应的是(  )

查看答案和解析>>

科目:初中化学 来源:2012-2013学年江苏省盐城市东台市联谊学校九年级(上)期中化学试卷(解析版) 题型:选择题

知识梳理有助于我们对已学知识的巩固,如图是某同学学习物质结构层次后已氧气为例进行的梳理,下列选项中与a、b、c对应的是( )

A.原子、原子核、核外电子
B.原子核、原子、核外电子
C.原子、核外电子、原子核
D.核外电子、原子核、原子

查看答案和解析>>

科目:初中化学 来源:中考化学试题分类卷(三)(解析版) 题型:选择题

知识梳理有助于我们对已学知识的巩固,如图是某同学学习物质结构层次后已氧气为例进行的梳理,下列选项中与a、b、c对应的是( )

A.原子、原子核、核外电子
B.原子核、原子、核外电子
C.原子、核外电子、原子核
D.核外电子、原子核、原子

查看答案和解析>>

同步练习册答案