精英家教网 > 初中生物 > 题目详情
某男子将X染色体上的某一突变基因传给儿子的概率是( )
A.0
B.25%
C.50%
D.100%
【答案】分析:此题考查的知识点是人的性别的遗传,解答时可以从人的性别遗传图解方面来切入.
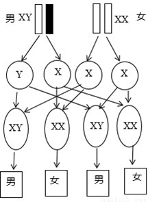
解答:解:人的性别遗传如图:从图中可以看出儿子的染色体中Y一定来源于父亲,X一定来源于母亲.男子把X染色体上的某一突变基因,只能传给女儿,不能传给儿子.因此某男子将X染色体上的某一突变基因传给儿子的概率是O.
故选:A.
点评:解答此类题目的关键是理解人类的性别遗传过程.
练习册系列答案
相关习题

科目:初中生物 来源: 题型:

(2008?泰州)某男子将X染色体上的某一突变基因传给儿子的概率是(  )

查看答案和解析>>

科目:初中生物 来源:2011-2012学年江苏省泰州市白马中学八年级下学期第一次月度检测生物试卷 题型:单选题

某男子将X染色体上的某一突变基因传给儿子的概率是

A.0B.25%C.50%D.100%

查看答案和解析>>

科目:初中生物 来源:2011-2012学年江苏省泰州市八年级下学期第一次月度检测生物试卷 题型:选择题

某男子将X染色体上的某一突变基因传给儿子的概率是

A.0                B.25%              C.50%              D.100%

 

查看答案和解析>>

科目:初中生物 来源:2012-2013学年四川省自贡市牛佛片区八年级(下)期中生物试卷(解析版) 题型:选择题

某男子将X染色体上的某一突变基因传给儿子的概率是( )
A.0
B.25%
C.50%
D.100%

查看答案和解析>>

科目:初中生物 来源:2011-2012学年江苏省泰州市白马中学八年级(下)第一次月考生物试卷(解析版) 题型:选择题

某男子将X染色体上的某一突变基因传给儿子的概率是( )
A.0
B.25%
C.50%
D.100%

查看答案和解析>>

同步练习册答案