精英家教网 > 初中生物 > 题目详情
人双眼皮是由显性基因E控制的,单眼皮是由隐性基因e控制的,一对夫妇男单眼皮,女双眼皮,他们的第一个孩子是单眼皮,第二个孩子是双眼皮的基因组成为( )
A.EE或Ee
B.Ee或ee
C.Ee
D.ee
【答案】分析:此题考查的知识点是基因的显性与隐形以及基因的传递.解答时可以从显性基因和隐性基因以及它们控制的性状和基因在亲子代间的传递方面来切入.
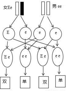
解答:解:显性基因控制显性性状,隐性基因控制隐性性状,当控制某个性状的基因一个是显性,一个是隐性时,只表现出显性基因控制的性状.单眼皮是由隐性基因e控制的,男单眼皮其基因组成是ee;双眼皮是由显性基因E控制的,女双眼皮基因组成是EE或Ee.控制眼皮单双的基因在亲子代间的传递如图:
从图中可以看出第二个孩子是双眼皮的基因组成为Ee,不可能是EE.
故选C.
点评:解答此类题目的关键是理解基因在亲子代间的传递.
练习册系列答案
相关习题

科目:初中生物 来源: 题型:

(2010?汕头)人双眼皮是由显性基因E控制的,单眼皮是由隐性基因e控制的,一对夫妇男单眼皮,女双眼皮,他们的第一个孩子是单眼皮,第二个孩子是双眼皮的基因组成为(  )

查看答案和解析>>

科目:初中生物 来源:2015届山东济宁清华实验学校初二上期期末模拟测试生物卷(解析版) 题型:选择题

人双眼皮是由显性基因E控制的,单眼皮是由隐性基因e控制的,一对夫妇男单眼皮,女双眼皮,他们的第一个孩子是单眼皮,第二个孩子是双眼皮的基因组成为(   )

A.EE或Ee       B.Ee或ee       C.Ee             D.ee

 

查看答案和解析>>

科目:初中生物 来源:汕头 题型:单选题

人双眼皮是由显性基因E控制的,单眼皮是由隐性基因e控制的,一对夫妇男单眼皮,女双眼皮,他们的第一个孩子是单眼皮,第二个孩子是双眼皮的基因组成为(  )
A.EE或EeB.Ee或eeC.EeD.ee

查看答案和解析>>

科目:初中生物 来源:《7.2 生物的遗传和变异》2012年单元测试卷(烔炀中学)(解析版) 题型:选择题

人双眼皮是由显性基因E控制的,单眼皮是由隐性基因e控制的,一对夫妇男单眼皮,女双眼皮,他们的第一个孩子是单眼皮,第二个孩子是双眼皮的基因组成为( )
A.EE或Ee
B.Ee或ee
C.Ee
D.ee

查看答案和解析>>

科目:初中生物 来源:2007年中考生物模拟试卷(19)(解析版) 题型:选择题

人双眼皮是由显性基因E控制的,单眼皮是由隐性基因e控制的,一对夫妇男单眼皮,女双眼皮,他们的第一个孩子是单眼皮,第二个孩子是双眼皮的基因组成为( )
A.EE或Ee
B.Ee或ee
C.Ee
D.ee

查看答案和解析>>

同步练习册答案