精英家教网 > 初中生物 > 题目详情
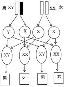
科学家将男性、女性体细胞内的染色体进行整理,形成了下列的排序图.请分析回答:
(1)从图中可以看出,在人的体细胞中,染色体是    存在的.
(2)根据染色体组成可以判断,乙为    性的染色体组成,其染色体表示为   
(3)甲产生的生殖细胞中共含有    条性染色体.
(4)如果乙图中X染色体上某一基因发生突变,这一突变基因传给自己女儿的几率是   
【答案】分析:男女体细胞中都有23对染色体,有22对染色体的形态、大小男女的基本相同,其中有一对染色体在形态、大小上存在着明显差异,这对染色体与人的性别决定有关,称为性染色体;女性体细胞中的性染色体形态大小基本相同,称为XX染色体,男性体细胞的性染色体中,较大的一条命名为X染色体,较小一条称为Y染色体.
解答:解:(1)在图中很明显地就能看出在人的体细胞中,染色体都是成对存在的.
(2)(3)分析图示可知:乙图中的第23对染色体一条大、一条小,为XY染色体,因此乙图表示男性的体细胞中的染色体的组成;甲图中的第23对染色体形态大小基本相同,是XX染色体,即甲图表示的是女性体细胞中的染色体的组成.在亲代的生殖细胞形成过程中,经过减数分裂,染色体彼此分离,分别进入两个生殖细胞,因此生殖细胞中的染色体是体细胞的一半即23条.男性产生的生殖细胞中共含有2条性染色体,一条为X染色体,另一条为Y染色体.

(4):人的性别遗传如图:从图中可以看出女儿的染色体中XX分别来自父母双方,母亲一定为女儿提供X染色体,女子X染色体上的某一基因,既能传给女儿,也能传给儿子.因此一个女子把X染色体上的某一突变基因传给女儿的概率是10O%.
故答案为:
(1)成对;
(2)男,XY
(3)2
(4)100%
点评:此题考查了人体内的染色体数,包括体细胞和生殖细胞;以及与性别决定有关的性染色体.
练习册系列答案
相关习题

科目:初中生物 来源: 题型:

(2010?广州)科学家将男性、女性体细胞内的染色体进行整理,形成了下列的排序图.请分析回答:

(1)从图中可以看出,在人的体细胞中,染色体是
成对
成对
存在的.
(2)根据染色体组成可以判断,乙为
 性的染色体组成,其性染色体表示为
XY
XY

(3)甲产生的生殖细胞中共含有
23
23
条染色体.
(4)若甲、乙是一对夫妇,第一胎生的是女孩,假如他们再生第二胎,生男孩的可能性为
50%
50%

查看答案和解析>>

科目:初中生物 来源: 题型:

科学家将男性、女性体细胞内的染色体进行整理,形成了染色体图谱.下图是某夫妇体细胞染色体组成示意图请分析回答:

(1)染色体是遗传物质的载体,从成分上看,染色体由
DNA和蛋白质
DNA和蛋白质
组成,在每种生物体内染色体的形态和数目都是
一定的
一定的

(2)从上图中可以看出,在人的体细胞中,染色体是
成对
成对
存在的.
(3)根据染色体组成可以判断,甲为
性的染色体组成,其性染色体表示为
XX
XX
.乙产生的生殖细胞中共含有
23
23
条染色体,其中性染色体的组成是
X或Y
X或Y

(4)若甲、乙是一对夫妇,第一胎生的是女孩,假如他们再生第二胎,生男孩的可能性为
50%
50%

(5)若该对夫妇中,丈夫有耳垂(Dd),妻子无耳垂(dd),他们生了一个有耳垂的孩子,该孩子相关的基因组成是
Dd
Dd

(6)如果该夫妇都变现为卷舌,其第一个孩子是非卷舌,则该夫妇再生一个孩子非卷舌的几率是
25%
25%

查看答案和解析>>

科目:初中生物 来源: 题型:

科学家将男性、女性体细胞内的染色体进行整理,形成了下列的排序图.请分析回答:
(1)从图中可以看出,在人的体细胞中,染色体是
成对
成对
存在的.
(2)根据染色体组成可以判断,乙为
性的染色体组成,其染色体表示为
XY
XY

(3)甲产生的生殖细胞中共含有
2
2
条性染色体.
(4)如果乙图中X染色体上某一基因发生突变,这一突变基因传给自己女儿的几率是
100%
100%

查看答案和解析>>

科目:初中生物 来源:2014届山东日照初二上期期末考试生物卷(解析版) 题型:综合题

(10分)科学家将男性、女性体细胞内的染色体进行整理,形成了染色体图谱。下图是某夫妇体细胞染色体组成示意图请分析回答:

(1)染色体是遗传物质的载体,从成分上看,染色体由                  组成,在每种生物体内染色体的形态和数目都是         

(2)从上图中可以看出,在人的体细胞中,染色体是________存在的。

(3)根据染色体组成可以判断,甲为_____性的染色体组成,其性染色体表示为________。

乙产生的生殖细胞中共含有________条染色体,其中性染色体的组成是         

(4)若甲、乙是一对夫妇,第一胎生的是女孩,假如他们再生第二胎,生男孩的可能性为________。

(5)若该对夫妇中,丈夫有耳垂(Dd),妻子无耳垂(dd),他们生了一个有耳垂的孩子,该孩子相关的基因组成是            

(6)如果该夫妇都变现为卷舌,其第一个孩子是非卷舌,则该夫妇再生一个孩子非卷舌的几率是_______

 

查看答案和解析>>

科目:初中生物 来源:2012-2013学年福建省三明市宁化县城东中学八年级(下)生物周练(四)(解析版) 题型:填空题

科学家将男性、女性体细胞内的染色体进行整理,形成了下列的排序图.请分析回答:

(1)从图中可以看出,在人的体细胞中,染色体是    存在的.
(2)根据染色体组成可以判断,乙为     性的染色体组成,其性染色体表示为   
(3)甲产生的生殖细胞中共含有    条染色体.
(4)若甲、乙是一对夫妇,第一胎生的是女孩,假如他们再生第二胎,生男孩的可能性为   

查看答案和解析>>

同步练习册答案