精英家教网 > 初中生物 > 题目详情
A与a分别代表有耳垂和无耳垂的基因,若亲代都有耳垂,基因型均为Aa,其子代耳垂形状表现的比例是( )
A.3/4有耳垂,1/4无耳垂
B.1/4有耳垂,3/4无耳垂
C.1/2有耳垂,1/2无耳垂
D.全部有耳垂
【答案】分析:此题考查的知识点是基因的显性与隐形以及基因的传递.解答时可以从显性基因和隐性基因以及它们控制的性状和基因在亲子代间的传递方面来切入.
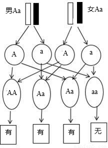
解答:解:显性基因控制显性性状,隐性基因控制隐性性状,当控制某个性状的基因一个是显性,一个是隐性时,只表现出显性基因控制的性状.有耳垂是由显性基因A控制的.无耳垂是有隐性基因a控制的.若亲代都有耳垂,基因型均为Aa,控制有无耳垂的基因在亲子代间的传递如图:
从图中可以看出,子代耳垂形状表现的比例是3/4有耳垂,1/4无耳垂.
故选A.
点评:解答此类题目的关键是理解基因在亲子代间的传递.
练习册系列答案
相关习题

科目:初中生物 来源: 题型:

A与a分别代表有耳垂和无耳垂的基因,若亲代都有耳垂,基因型均为Aa,其子代耳垂形状表现的比例是(  )

查看答案和解析>>

科目:初中生物 来源: 题型:

A与a分别代表有耳垂基因和无耳垂基因.若亲代都有耳垂,其基因型均为Aa,试问其子代耳垂性状表现的比例是(  )

查看答案和解析>>

科目:初中生物 来源:2012届湖南省茶陵县潞水一中九年级上学期期末东区联考生物试卷 题型:单选题

A与a分别代表有耳垂和无耳垂的基因。若亲代都有耳垂,其基因型均为Aa,试问其子代耳垂性状表现的比例是(  )。

A.3/4是有耳垂,1/4无耳垂B.1/4有耳垂,3/4无耳垂;
C.1/2有耳垂,1/2无耳垂D.全部有耳垂

查看答案和解析>>

科目:初中生物 来源:2011-2012学年湖南省九年级上学期期末东区联考生物试卷 题型:选择题

A与a分别代表有耳垂和无耳垂的基因。若亲代都有耳垂,其基因型均为Aa,试问其子代耳垂性状表现的比例是(   )。

A、3/4是有耳垂,1/4无耳垂      B、1/4有耳垂,3/4无耳垂;

C、1/2有耳垂,1/2无耳垂        D、 全部有耳垂

 

查看答案和解析>>

科目:初中生物 来源:2004-2005学年陕西省宝鸡市渭滨区八年级(上)期末生物试卷(解析版) 题型:选择题

A与a分别代表有耳垂和无耳垂的基因,若亲代都有耳垂,基因型均为Aa,其子代耳垂形状表现的比例是( )
A.3/4有耳垂,1/4无耳垂
B.1/4有耳垂,3/4无耳垂
C.1/2有耳垂,1/2无耳垂
D.全部有耳垂

查看答案和解析>>

同步练习册答案