科目:初中数学 来源:江苏省盐城市滨海2017届初三毕业班第二次调研测试数学试卷(含答案) 题型:解答题
如图,我国渔政船在钓鱼岛海域C处测得钓鱼岛A在渔政船的北偏西30。的方向上,随后渔政船以80海里/小时的速度向北偏东30°的方向航行,半小时后到达B处,此时又测得钓鱼岛A在渔政船的北偏西60°的方向上,求此时渔政船距钓鱼岛A的距离姓B.(结果保留小数点后一位,其中
1.732)
![]()
查看答案和解析>>
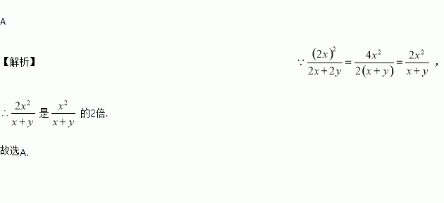
科目:初中数学 来源:浙江省宁波市南三县2017届九年级毕业生学业水平模拟数学试卷 题型:单选题
某校九年级体育模拟测试中,六名男生引体向上的成绩如下(单位:个):10、6、9、11、8、10,下列关于这组数据描述正确的是( )
A. 中位数是10 B. 众数是10 C. 平均数是9.5 D. 方差是16
查看答案和解析>>
科目:初中数学 来源:河北石家庄市2017年九年级中考模拟测数学试卷 题型:单选题
抛物线y=3x2+2x﹣1向上平移4个单位长度后的函数解析式为( ).
A. y=3x2+2x﹣5 B. y=3x2+2x﹣4 C. y=3x2+2x+3 D. y=3x2+2x+4
查看答案和解析>>
科目:初中数学 来源:河北石家庄市2017年九年级中考模拟测数学试卷 题型:单选题
一副三角板有两个直角三角形,如图叠放在一起,则∠α的度数是( )
![]()
A. 165° B. 120° C. 150° D. 135°
查看答案和解析>>
科目:初中数学 来源:【全国区级联考】湖北省襄阳市樊城区2017届(5月)中考数学模拟考试试卷 题型:解答题
某商店试销一种新商品,该商品的进价为40元/件,经过一段时间的试销发现,每月的销售量会因售价在40~70元之间的调整而不同。当售价在40~50元时,每月销售量都为60件;当售价在50~70元时,每月销售量与售价的关系如图所示,令每月销售量为y件,售价为x元/件,每月的总利润为Q元。
(1)当售价在50~70元时,求每月销售量为y与x的函数关系式?
(2)当该商品售价x是多少元时,该商店每月获利最大,最大利润是多少元?
(3)若该商店每月采购这种新商品的进货款不低于1760元,则该商品每月最大利润为 元。
![]()
查看答案和解析>>
科目:初中数学 来源:【全国区级联考】湖北省襄阳市樊城区2017届(5月)中考数学模拟考试试卷 题型:填空题
对于二次函数y = x2-2mx-3,有下列结论:①它的图象与x轴有两个交点;②如果将它的图象向左平移3个单位
后过原点,则m=1;③如果当x = 2时的函数值与x = 8时的函数值相等,则m=5.其中一定正确的结论是____________.(把你认为正确结论的序号都填上)
查看答案和解析>>
科目:初中数学 来源:【全国区级联考】湖北省襄阳市宜城区2017届(5月)中考模拟考试数学试卷 题型:解答题
如图,在正方形ABCD中,点E是AD上的点,点F是BC的延长线上一点,CF=DE,连结BE和EF,EF与CD交于点G,且∠FBE=∠FEB.
(1)过点F作FH⊥BE于点H,证明:
;
(2)猜想:BE、AE、EF之间的数量关系,并证明你的结论;
(3)若DG=2,求AE值.
![]()
查看答案和解析>>
科目:初中数学 来源:【全国市毕业班适应性检测数学试卷 题型:单选题
如图,在△ABC中,∠ACB=90°,分别以点A和点C为圆心,以相同的长(大于
AC)为半径作弧,两弧相交于点M和点N,作直线MN交AB于点D,交AC于点E,连接CD.下列结论错误的是( )
![]()
A. AD=CD B. ∠A=2∠DCB C. ∠ADE=∠DCB D. ∠A=∠DCA
查看答案和解析>>
湖北省互联网违法和不良信息举报平台 | 网上有害信息举报专区 | 电信诈骗举报专区 | 涉历史虚无主义有害信息举报专区 | 涉企侵权举报专区
违法和不良信息举报电话:027-86699610 举报邮箱:58377363@163.com