精英家教网 > 初中数学 > 题目详情

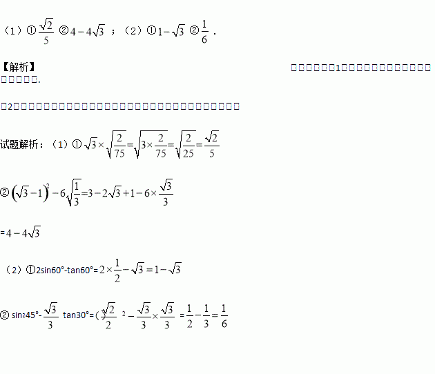
(1)计算 :①.

(2)①计算:2sin60°-tan60° ②计算:sin245°-tan30°;

练习册系列答案
相关习题

科目:初中数学 来源:2017届福建省仙游县郊尾、枫亭五校教研小片区九年级下学期第一次月考数学试卷(解析版) 题型:解答题

解不等式组: ,并把它的解集表示在数轴上。

查看答案和解析>>

科目:初中数学 来源: 题型:填空题

15.若y=kx+2k-3是y关于x的正比例函数,则k=$\frac{3}{2}$.

查看答案和解析>>

科目:初中数学 来源:2017届福建省仙游县郊尾、枫亭五校教研小片区九年级下学期第一次月考数学试卷(解析版) 题型:单选题

直线 y1=x+4与直线 y2=-x+b的交点不可能在( )

A. 第一象限 B. 第二象限 C. 第三象限 D. 第四象限

查看答案和解析>>

科目:初中数学 来源:2016-2017学年度海南省九年级第二次月考数学试卷(解析版) 题型:解答题

如图,正方形ABCD中,点P是AD上的一动点(与点D、点A不重合),DE⊥CP,垂足为E,EF⊥BE与DC交于点F.

(1)求证:△DEF∽△CEB;

(2)当点P运动到DA的中点时,求证:点F为DC的中点.

查看答案和解析>>

科目:初中数学 来源:2016-2017学年度海南省九年级第二次月考数学试卷(解析版) 题型:单选题

如图,在矩形ABCD中,对角线AC、BD交于点O,OE⊥BD交AB于E,若∠ABD=30°,DE=6,则矩形ABCD的周长为( )

A. 6+18 B. 3+9 C. 2+18 D. +9

查看答案和解析>>

科目:初中数学 来源:2016-2017学年度海南省九年级第二次月考数学试卷(解析版) 题型:单选题

一个袋子中装有6个红球3个白球,这些球除颜色外,形状、大小、质地等完全相同. 在看不到球的条件下,随机地从这个袋子中摸出一个球,摸到白球的概率为( )

A. B. C. D.

查看答案和解析>>

科目:初中数学 来源: 题型:填空题

11.在?ABCD中,E为AD的三等分点,连接BE,交AC于点F,过D作BE的平行线交AC于G,交BC于M,AC=12,则FG为2.4或6.

查看答案和解析>>

科目:初中数学 来源: 题型:选择题

12.由几个相同的小正方体组成了一个几何体,该几何体的三视图如图所示,则该几何体可能为(  )
A.B.C.D.

查看答案和解析>>

同步练习册答案