精英家教网 > 初中数学 > 题目详情

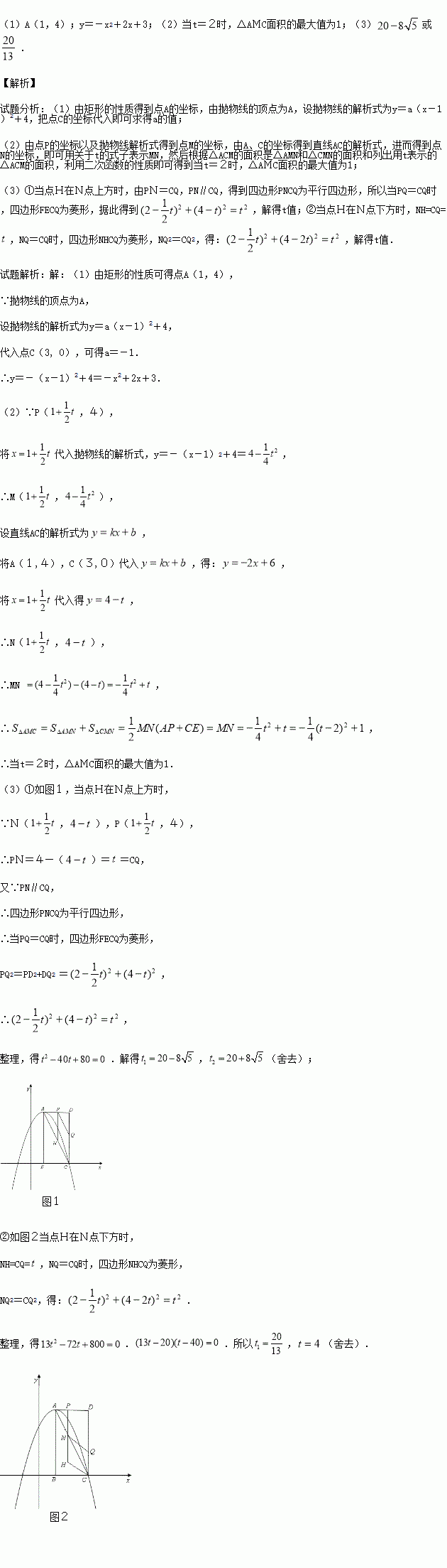
(本小题满分9分)如图,在平面直角坐标系中,已知矩形ABCD的三个顶点B(1, 0)、C(3, 0)、D(3, 4).以A为顶点的抛物线y=ax2+bx+c过点C.动点P从点A出发,以每秒个单位的速度沿线段AD向点D运动,运动时间为t秒.过点P作PE⊥x轴交抛物线于点M,交AC于点N.

(1)直接写出点A的坐标,并求出抛物线的解析式;

(2)当t为何值时,△ACM的面积最大?最大值为多少?

(3)点Q从点C出发,以每秒1个单位的速度沿线段CD向点D运动,当t为何值时,在线段PE上存在点H,使以C、Q、N、H为顶点的四边形为菱形?

练习册系列答案
相关习题

科目:初中数学 来源:2017届河北省中考模拟数学试卷(四)(解析版) 题型:解答题

在Rt△ABC中,∠CAB=90°,AC=AB=6,D,E分别是AB,AC的中点,若等腰Rt△ADE绕点A逆时针旋转,得到Rt△AD1E1,设旋转角为α(0<α≤180°),记直线BD1与CE1的交点为P.

(1)如图1,当α=90°时,线段BD1的长等于  ,线段CE1的长等于  

(2)如图2,当α=135°时,设直线BD1与CA的交点为F,求证:BD1=CE1,且BD1⊥CE1;

(3)点P到AB所在直线的距离的最大值是  

查看答案和解析>>

科目:初中数学 来源:2016-2017学年北京市丰台区八年级第二学期期中考试数学试卷(解析版) 题型:单选题

点A(-1,m),B(2016,n)在一次函数y = -x+2017的图象上,则( )

A. B. C. D. m、n的大小关系不确定.

查看答案和解析>>

科目:初中数学 来源:2016-2017学年浙江省温州市八校第二学期期中联考七年级数学试卷(解析版) 题型:填空题

把方程改写成用含的式子表示的形式,得______________ .

查看答案和解析>>

科目:初中数学 来源:2016-2017学年浙江省温州市八校第二学期期中联考七年级数学试卷(解析版) 题型:单选题

下列整式乘法运算中,正确的是( )

A. B.

C. D.

查看答案和解析>>

科目:初中数学 来源:2017届辽宁省盘锦市中考模拟试卷(一)数学试卷(解析版) 题型:解答题

张家界市为了治理城市污水,需要铺设一段全长为300米的污水排放管道,铺设120米后,为了尽可能减少施工对城市交通所造成的影响,后来每天的工作量比原计划增加20%,结果共用了27天完成了这一任务,求原计划每天铺设管道多少米?

查看答案和解析>>

科目:初中数学 来源:2017届辽宁省盘锦市中考模拟试卷(一)数学试卷(解析版) 题型:填空题

在△ABC中,AB=AC=10,cosB=,如果圆O的半径为2,且经过点B、C,那么线段AO的长等于__.

查看答案和解析>>

科目:初中数学 来源:2017届天宏大联考河南省招第一次模拟考试数学试卷(解析版) 题型:解答题

某经销商销售一种产品,这种产品的成本价为10元/千克,市场调查发现,该产品每天的销售量y(千克)与销售价x(元/千克,且10≤x≤18)之间的函数关系如图所示:

(1)求y(千克)与销售价z的函数关系式;

(2)该经销商想要每天获得150元的销售利润,销售价应定为多少?

查看答案和解析>>

科目:初中数学 来源:2017届四川省眉山市中考适应性考试数学试卷(解析版) 题型:单选题

甲、乙、丙三家超市为了促销一种定价均m元的商品,甲超市连续两次降价20%;乙超市一次性降价40%;丙超市第一次降价30%,第二次降价10%,此时顾客要购买这种商品,最划算的超市是( )超市.

A. 甲 B. 乙 C. 丙 D. 甲乙丙都一样

查看答案和解析>>

同步练习册答案