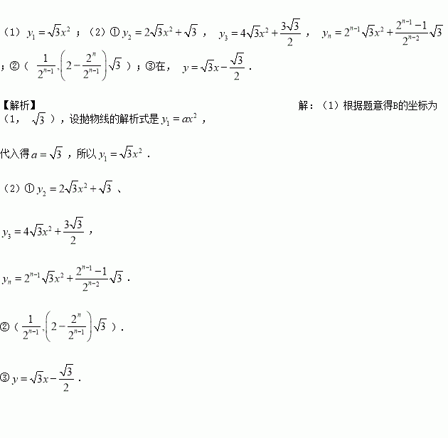
Èçͼ£¬Å×ÎïÏß
£¨a>0£©µÄ¶¥µãΪM£¬Èô¡÷MCBΪµÈ±ßÈý½ÇÐΣ¬ÇÒµãC£¬BÔÚÅ×ÎïÏßÉÏ£¬ÎÒÃǰÑÕâÖÖÅ×ÎïÏß³ÆÎª¡°ÍêÃÀÅ×ÎïÏß¡±£¬ÒÑÖªµãMÓëµãOÖØºÏ£¬BC=2£®
£¨1£©Çó¹ýµãO¡¢B¡¢CÈýµãÍêÃÀÅ×ÎïÏß
µÄ½âÎöʽ£»
£¨2£©ÈôÒÀ´ÎÔÚyÖáÉÏÈ¡µãM1¡¢M2¡¢¡Mn·Ö±ð×÷µÈ±ßÈý½ÇÐμ°ÍêÃÀÅ×ÎïÏß
¡¢
¡¢¡
£¬ÆäÖеȱßÈý½ÇÐεÄÏàËÆ±È¶¼ÊÇ2:1£¬Èçͼ,nΪÕýÕûÊý£®
¢ÙÔòÍêÃÀÅ×ÎïÏß
= £¬ÍêÃÀÅ×ÎïÏß
= £»
ÍêÃÀÅ×ÎïÏß
= £»
¢ÚÖ±½Óд³öBnµÄ×ø±ê£»
¢ÛÅжϵãB1¡¢B2¡¢¡¡¢BnÊÇ·ñÔÚͬһֱÏߣ¬ÈôÔÚ£¬Çó³öÖ±ÏߵĽâÎöʽ£¬Èô²»ÔÚͬһֱÏßÉÏ£¬ËµÃ÷ÀíÓÉ£®
![]()
| Äê¼¶ | ¸ßÖÐ¿Î³Ì | Äê¼¶ | ³õÖÐ¿Î³Ì |
| ¸ßÒ» | ¸ßÒ»Ãâ·Ñ¿Î³ÌÍÆ¼ö£¡ | ³õÒ» | ³õÒ»Ãâ·Ñ¿Î³ÌÍÆ¼ö£¡ |
| ¸ß¶þ | ¸ß¶þÃâ·Ñ¿Î³ÌÍÆ¼ö£¡ | ³õ¶þ | ³õ¶þÃâ·Ñ¿Î³ÌÍÆ¼ö£¡ |
| ¸ßÈý | ¸ßÈýÃâ·Ñ¿Î³ÌÍÆ¼ö£¡ | ³õÈý | ³õÈýÃâ·Ñ¿Î³ÌÍÆ¼ö£¡ |
¿ÆÄ¿£º³õÖÐÊýѧ À´Ô´£º2#240651#2#7#6#2017#¹ã¶«Ê¡ÖÐɽÊÐҵˮƽ¿¼ÊÔÊýѧÊÔ¾í#6#3 ÌâÐÍ£º½â´ðÌâ
Èçͼ£¬½«¾ØÐÎ
ÑØ¶Ô½ÇÏß
¶ÔÕÛ£¬µã
ÂäÔÚ
´¦£¬
Óë
ÏཻÓÚµã
.
£¨1£©ÇóÖ¤£º
ÊǵÈÑüÈý½ÇÐΣ»
£¨2£©Èô
£¬
£¬Çó
µÄÓàÏÒÖµ.
![]()
²é¿´´ð°¸ºÍ½âÎö>>
¿ÆÄ¿£º³õÖÐÊýѧ À´Ô´£º2#240637#1#3#21#2017#ÉÂÎ÷Ê¡Î÷°²ÊÐ2016-2017ѧÄêÆßÄê¼¶5ÔÂÔ¿¼ÊýѧÊÔ¾í#21#1 ÌâÐÍ£ºµ¥Ñ¡Ìâ
Èçͼ£¬ACƽ·Ö¡ÏBAD£¬¡ÏB=¡ÏD£¬AB=8cm£¬ÔòAD=£¨¡¡¡¡£©
![]()
A. 6cm B. 8cm C. 10cm D. 4cm
²é¿´´ð°¸ºÍ½âÎö>>
¿ÆÄ¿£º³õÖÐÊýѧ À´Ô´£º2#240773#3#7#5#2017#½ËÕÊ¡2017½ì¾ÅÄê¼¶ÏÂѧÆÚµÚÈý´ÎÄ£Ä⿼ÊÔÊýѧÊÔ¾í#5#1 ÌâÐÍ£ºÌî¿ÕÌâ
Èçͼ£¬¡ÑOÊÇ¡÷ABCµÄÍâ½ÓÔ²£¬¡ÏBOC=120¡ã£¬Ôò¡Ï BACµÄ¶ÈÊýÊÇ_______£®
![]()
²é¿´´ð°¸ºÍ½âÎö>>
¿ÆÄ¿£º³õÖÐÊýѧ À´Ô´£º2#240773#3#7#5#2017#½ËÕÊ¡2017½ì¾ÅÄê¼¶ÏÂѧÆÚµÚÈý´ÎÄ£Ä⿼ÊÔÊýѧÊÔ¾í#5#1 ÌâÐÍ£ºµ¥Ñ¡Ìâ
Èô
ÔÚʵÊý·¶Î§ÄÚÓÐÒâÒ壬Ôò
µÄȡֵ·¶Î§ÊÇ£¨ £©
A. x£¾2 B. x¡Ý2 C. x¡Ý£2 D. x¡Ù2
²é¿´´ð°¸ºÍ½âÎö>>
¿ÆÄ¿£º³õÖÐÊýѧ À´Ô´£º2#240758#3#7#16#2017#½Î÷Ê¡µÈѧУÕÐÉú¿¼ÊÔÐÅÏ¢¾í--ÊýѧÊÔ¾í#16#3 ÌâÐÍ£º½â´ðÌâ
Ëæ×Å¡°»¥ÁªÍø£«¡±Ê±´úµÄµ½À´£¬Ò»ÖÖÐÂÐÍ´ò³µ·½Ê½Êܵ½´óÖÚ»¶Ó£®¸Ã´ò³µ·½Ê½µÄ¼Æ¼Û¹æÔòÈçͼ¢ÙËùʾ£¬Èô³µÁ¾ÒÔÆ½¾ùËÙ¶Èvkm/hÐÐÊ»ÁËskm£¬Ôò´ò³µ·ÑÓÃΪ£¨ps£«60q¡¤
£©Ôª£¨²»×ã9Ôª°´9Ôª¼Æ¼Û£©£®Ð¡Ã÷ijÌìÓøôò³µ·½Ê½³öÐУ¬°´ÉÏÊö¼Æ¼Û¹æÔò£¬Æä´ò³µ·ÑÓÃy£¨Ôª£©ÓëÐÐÊ»Àï³Ìx£¨km£©µÄº¯Êý¹ØÏµÒ²¿ÉÓÉÈçͼ¢Ú±íʾ£®
£¨1£©µ±x¡Ý6ʱ£¬ÇóyÓëxµÄº¯Êý¹ØÏµÊ½£®
£¨2£©Èôp£½1£¬q£½0.5£¬Çó¸Ã³µÐÐÊ»µÄƽ¾ùËÙ¶È£®
![]()
²é¿´´ð°¸ºÍ½âÎö>>
¿ÆÄ¿£º³õÖÐÊýѧ À´Ô´£º2#240758#3#7#16#2017#½Î÷Ê¡µÈѧУÕÐÉú¿¼ÊÔÐÅÏ¢¾í--ÊýѧÊÔ¾í#16#3 ÌâÐÍ£ºÌî¿ÕÌâ
¶þ´Îº¯Êý
µÄͼÏóÈçͼ£¬¶Ô³ÆÖáΪֱÏßx=1£®Èô¹ØÓÚxµÄÒ»Ôª¶þ´Î·½³Ì
(tΪʵÊý)ÔÚ£1£¼x£¼4µÄ·¶Î§ÄÚÓн⣬ÔòyµÄȡֵ·¶Î§ÊÇ___________£®
![]()
²é¿´´ð°¸ºÍ½âÎö>>
¿ÆÄ¿£º³õÖÐÊýѧ À´Ô´£º2#240742#1#3#9#2017#ºþ±±Ê¡Âé³ÇÊÐ2016-2017ѧÄêÆßÄê¼¶ÏÂѧÆÚµÚ¶þ´ÎÔ¿¼ÊýѧÊÔ¾í#9#1 ÌâÐÍ£ºÌî¿ÕÌâ
Èô²»µÈʽ×é
Î޽⣬ÔòaµÄȡֵ·¶Î§ÊÇ_____£®
²é¿´´ð°¸ºÍ½âÎö>>
¿ÆÄ¿£º³õÖÐÊýѧ À´Ô´£º2#240732#3#7#23#2017#¸ÊËàÀ¼ÖÝÊÐ 2017Äê ¾ÅÄê¼¶Êýѧ Öп¼Ä£ÄâÊÔ¾í£¨º¬´ð°¸£©#23#1 ÌâÐÍ£ºµ¥Ñ¡Ìâ
ÏÂÁÐʼþÖУ¬±ØÈ»Ê¼þÊÇ£¨ £©
A. ´ò¿ªµçÊÓ£¬ËüÕýÔÚ²¥¹ã¸æ
B. ÖÀÁ½Ã¶ÖʵؾùÔȵÄÕý·½Ìå÷»×Ó£¬µãÊýÖ®ºÍÒ»¶¨´óÓÚ6
C. Ô糿µÄÌ«Ñô´Ó¶«·½ÉýÆð
D. ûÓÐË®·Ö£¬ÖÖ×Ó·¢Ñ¿
²é¿´´ð°¸ºÍ½âÎö>>
¹ú¼ÊѧУÓÅÑ¡ - Á·Ï°²áÁбí - ÊÔÌâÁбí
ºþ±±Ê¡»¥ÁªÍøÎ¥·¨ºÍ²»Á¼ÐÅÏ¢¾Ù±¨Æ½Ì¨ | ÍøÉÏÓк¦ÐÅÏ¢¾Ù±¨×¨Çø | µçÐÅթƾٱ¨×¨Çø | ÉæÀúÊ·ÐéÎÞÖ÷ÒåÓк¦ÐÅÏ¢¾Ù±¨×¨Çø | ÉæÆóÇÖȨ¾Ù±¨×¨Çø
Î¥·¨ºÍ²»Á¼ÐÅÏ¢¾Ù±¨µç»°£º027-86699610 ¾Ù±¨ÓÊÏ䣺58377363@163.com