精英家教网 > 初中数学 > 题目详情

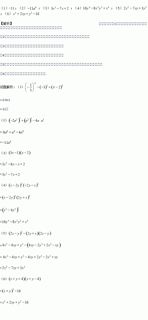
计算:

(1)

(2)

(3)

(4)

(5)

(6)

练习册系列答案
相关习题

科目:初中数学 来源: 题型:解答题

18.计算:
(1)|$\frac{1}{100}$-$\frac{1}{99}$|+|$\frac{1}{101}$-$\frac{1}{100}$|-|$\frac{1}{101}$-$\frac{1}{99}$|
(2)|$\frac{1}{2}$-$\frac{1}{3}$|+|$\frac{1}{3}$-$\frac{1}{4}$|+|$\frac{1}{4}$-$\frac{1}{5}$|+…+|$\frac{1}{2014}$-$\frac{1}{2015}$|

查看答案和解析>>

科目:初中数学 来源:2016-2017学年江苏省八年级下学期第一次月考数学试卷(解析版) 题型:解答题

在平行四边形ABCD中,DB=DC,∠C=70°,AE⊥BD于E,求∠DAE的度数。

查看答案和解析>>

科目:初中数学 来源:2016-2017学年江苏省八年级下学期第一次月考数学试卷(解析版) 题型:单选题

民间剪纸在我国有着悠久的历史,图案是中心对称图形的是( )

A. B. C. D.

查看答案和解析>>

科目:初中数学 来源:2016-2017学年吉林省七年级下学期期中复习数学检测试卷(一)(解析版) 题型:解答题

太仓港区道路绿化工程工地有大量货物需要运输,某车队有载重量为8吨和10吨的卡车共15辆,所有车辆运输一次能运输128吨货物.

(1)求该车队载重量为8吨、10吨的卡车各有多少辆?

(2)随着工程的扩大,车队需要一次运输货物170吨以上,为了完成任务,车队准备增购这两种卡车共5辆(两种车都购买),请写出所有可能的购车方案.

查看答案和解析>>

科目:初中数学 来源:2016-2017学年吉林省七年级下学期期中复习数学检测试卷(一)(解析版) 题型:填空题

已知a+b=3,ab=1,则a2+b2=____________.

查看答案和解析>>

科目:初中数学 来源:2016-2017学年吉林省七年级下学期期中复习数学检测试卷(一)(解析版) 题型:单选题

把多项式x2+ax+b分解因式,得(x+1)(x-3)则a,b的值分别是(  )

A. a=2,b=3 B. a=-2,b=-3 C. a=-2,b=3 D. a=2,b=-3

查看答案和解析>>

科目:初中数学 来源:2016-2017学年江苏省苏州太仓市第二学期初一期中复习检测数学试卷(一)(解析版) 题型:填空题

已知 是方程的解,则_______________.

查看答案和解析>>

科目:初中数学 来源: 题型:解答题

12.探索规律:用棋子按下面的方式摆出正方形
①按图示规律填写下表:
图形编号12345
棋子个数48121620
②按照这种方式摆下去,摆第10个正方形需要多少个棋子?

查看答案和解析>>

同步练习册答案