精英家教网 > 初中数学 > 题目详情

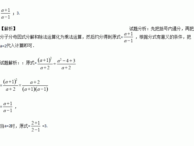
先化简,然后从﹣2,﹣1,1,2四个数中选择一个合适的数作为的值代入求值.

练习册系列答案
相关习题

科目:初中数学 来源:[首发]广东省东莞市堂星晨学校2016-2017学年七年级5月月考数学试卷 题型:填空题

当x______时,代数式2x﹣4的值是负数.

查看答案和解析>>

科目:初中数学 来源:[首发]江苏省东台市第六教育联盟2016-2017学年八年级下学期第二次月考数学试卷 题型:解答题

解分式方程:

查看答案和解析>>

科目:初中数学 来源:[首发]江苏省东台市第六教育联盟2016-2017学年八年级下学期第二次月考数学试卷 题型:单选题

反比例函数y=-的图像上有P1(x1,-2),P2(x2,-3)两点,则x1与x2的大小关系是(  )

A. x1>x2 B. x1=x2 C. x1<x2 D. 不确定

查看答案和解析>>

科目:初中数学 来源:湖南省湘潭市2017届九年级学业模拟考试数学试卷(五月份) 题型:解答题

(12分)如图,在△ABC中,AB=AC,以AB为直径的⊙O分别交BC,AC于点D,E,DG⊥AC于点G,交AB的延长线于点F.

(1)求证:直线FG是⊙O的切线;

(2)若AC=10,cosA=,求CG的长.

查看答案和解析>>

科目:初中数学 来源:湖南省湘潭市2017届九年级学业模拟考试数学试卷(五月份) 题型:填空题

已知关于的方程的两个根分别是,且,则的值为_____.

查看答案和解析>>

科目:初中数学 来源:湖南省湘潭市2017届九年级学业模拟考试数学试卷(五月份) 题型:填空题

分式的值为零,则的值为( )

A. 3 B. ﹣3 C. ±3 D. 任意实数

查看答案和解析>>

科目:初中数学 来源:[首发]天津市2016-2017学年八年级下学期第三次月考数学试卷 题型:填空题

过点(0,1)且与y=x平行的直线解析式是_______________

查看答案和解析>>

科目:初中数学 来源:[首发]山东省德州市2016-2017学年七年级下学期第二次月考数学试卷 题型:解答题

已知关于x,y的方程组满足x﹣y≤0,求k的最大整数值.

查看答案和解析>>

同步练习册答案