精英家教网 > 初中数学 > 题目详情

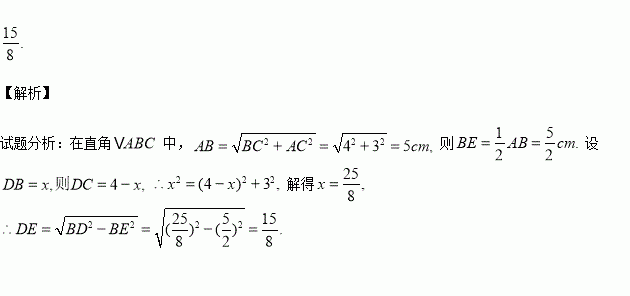
如图,已知中,cm, cm.现将进行折叠,使顶点重合,则折痕 cm.

练习册系列答案
相关习题

科目:初中数学 来源:2016届江苏省常州市九年级上学期期中考试数学试卷(解析版) 题型:填空题

如图,是一个简单的数值运算程序.则输入x的值为

查看答案和解析>>

科目:初中数学 来源:2016届广东省肇庆市端州区西区九年级上学期期末考试数学试卷(解析版) 题型:解答题

如图,在平面直角坐标系中,△ABC的三个顶点A,B,C的坐标分别为(2,4),(1,1),(3,-1).

(1)将△ABC绕点P(-1,-1)旋转180°,画出旋转后的图形△A1B1C1;

(2)写出△A1B1C1的三个顶点的坐标.

查看答案和解析>>

科目:初中数学 来源:2016届广东省肇庆市端州区西区九年级上学期期末考试数学试卷(解析版) 题型:选择题

平面直角坐标系内一点P(-2,3)关于原点对称的点的坐标是:

A、(3,-2) B、(2,3) C、(-2,-3) D、(2,-3)

查看答案和解析>>

科目:初中数学 来源:2015-2016学年江苏省无锡市新区八年级上学期期末考试数学试卷(解析版) 题型:解答题

如图,将矩形纸片ABCD沿对角线BD折叠,使点A落在平面上的F点处,DF交BC于点E.

(1)求证:△DCE≌△BFE;

(2)若, DB=2,求BE的长.

查看答案和解析>>

科目:初中数学 来源:2015-2016学年江苏省无锡市新区八年级上学期期末考试数学试卷(解析版) 题型:选择题

3184900精确到十万位的近似值是

查看答案和解析>>

科目:初中数学 来源:2015-2016学年江苏省无锡市新区八年级上学期期末考试数学试卷(解析版) 题型:选择题

已知点P在第四象限,且到x轴的距离为2,则点P的坐标为( )

A.(4,-2) B.(-4,2) C.(-2,4) D.(2,-4)

查看答案和解析>>

科目:初中数学 来源:2015-2016学年广东省肇庆市七年级上学期期末考试数学试卷(解析版) 题型:选择题

下列式子正确的是:

A、x-(y-z)=x-y-z

B、-(x-y+z)=-x-y-z

C、x+2y-2z=x-2(z+y)

D、-a+b+c+d=-(a-b)-(-c-d)

查看答案和解析>>

科目:初中数学 来源:2015-2016学年福建省仙游第二教学片区七年级上学期期末数学试卷(解析版) 题型:解答题

已知|x+1|+(y﹣2)2=0,求﹣[(﹣3x2y2+3x2y)+3x2y2﹣3xy2)]的值

查看答案和解析>>

同步练习册答案