精英家教网 > 初中数学 > 题目详情

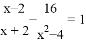
为了迎接“五•一”小长假的购物高峰.某运动品牌专卖店准备购进甲、乙两种运动鞋.其中甲、乙两种运动鞋的进价和售价如下表:已知:用3600元购进甲种运动鞋的数量与用3000元购进乙种运动鞋的数量相同.

(1)求m的值;

(2)要使购进的甲、乙两种运动鞋共200双的总利润(利润=售价﹣进价)不少于21600元,且不超过22440元,问该专卖店有多少种进货方案?

练习册系列答案
相关习题

科目:初中数学 来源:2017届江苏省泰州市姜堰区九年级中考适应性考试(一)数学试卷(解析版) 题型:解答题

(1)计算:

(2) 解方程:

查看答案和解析>>

科目:初中数学 来源:2016-2017学年江苏省丹阳市八年级下学期期中考试数学试卷(解析版) 题型:解答题

如图1,P是线段AB上的一点,在AB的同侧作△APC和△BPD,使PC=PA,PD=PB,∠APC=∠BPD,连接CD,点E、F、G、H分别是AC、AB、BD、CD的中点,顺次连接E、F、G、H.

(1)猜想四边形EFGH的形状,直接回答,不必说明理由;

(2)当点P在线段AB的上方时,如图2,在△APB的外部作△APC和△BPD,其他条件不变,(1)中的结论还成立吗?说明理由;

(3)如果(2)中,∠APC=∠BPD=90°,其他条件不变,先补全图3,再判断四边形EFGH的形状,并说明理由.

查看答案和解析>>

科目:初中数学 来源:2016-2017学年江苏省丹阳市八年级下学期期中考试数学试卷(解析版) 题型:填空题

已知关于的方程的解是负数,则m的取值范围为___________.

查看答案和解析>>

科目:初中数学 来源:2016-2017学年江苏省丹阳市八年级下学期期中考试数学试卷(解析版) 题型:填空题

“准确度量四边形的外角和,结果是360°”,这是_____事件(选填“随机”或“必然”).

查看答案和解析>>

科目:初中数学 来源:2016-2017学年江苏省宜兴市八年级下学期期中考试数学试卷(解析版) 题型:解答题

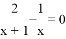
解方程:

(1) (2)

查看答案和解析>>

科目:初中数学 来源:2016-2017学年江苏省宜兴市八年级下学期期中考试数学试卷(解析版) 题型:填空题

如图,菱形ABCD的边长为5,对角线AC=6.则菱形ABCD的面积为

查看答案和解析>>

科目:初中数学 来源:2017届甘肃兰州市九年级中考模拟数学试卷(解析版) 题型:解答题

为方便市民通行,某广场计划对坡角为30°,坡长为60 米的斜坡AB进行改造,在斜坡中点D 处挖去部分坡体(阴影表示),修建一个平行于水平线CA 的平台DE 和一条新的斜坡BE.

(1)若修建的斜坡BE 的坡角为36°,则平台DE的长约为多少米?

(2)在距离坡角A点27米远的G处是商场主楼,小明在D点测得主楼顶部H 的仰角为30°,那么主楼GH高约为多少米?

(结果取整数,参考数据:sin 36°=0.6,cos 36°=0.8,tan 36°=0.7,=1.7)

查看答案和解析>>

科目:初中数学 来源:2015-2016学年江苏省南通市八年级下学期期中考试数学试卷(解析版) 题型:填空题

若一次函数y=﹣2x+3的图象经过点P1(﹣5,m)和点P2(1,n),则m n.(用“>”、“<”或“=”填空)

查看答案和解析>>

同步练习册答案