精英家教网 > 初中数学 > 题目详情

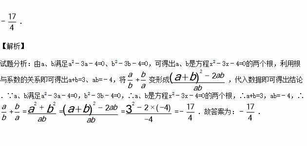
已知a≠b,且a、b满足a2﹣3a﹣4=0,b2﹣3b﹣4=0,那么+的值等于

练习册系列答案
相关习题

科目:初中数学 来源:2016-2017学年江苏苏州吴中区八年级上期中数学试卷(解析版) 题型:选择题

如图在△ABC中,CF⊥AB于F,BE⊥AC于E,M为BC的中点,EF=3,BC=8,则△EFM的周长是( )

A.21 B.15 C.13 D.11

查看答案和解析>>

科目:初中数学 来源:2017届山东威海环翠区九年级五四制上期中考试数学卷(解析版) 题型:解答题

已知:如图,△ABC中,AB=AC,以AB为直径的⊙O交BC于点P,PD⊥AC于点D.

(1)、求证:PD是⊙O的切线;(6分)(2)、若∠CAB=120°,AB=2,求BC的值.(6分)

查看答案和解析>>

科目:初中数学 来源:2017届山东威海环翠区九年级五四制上期中考试数学卷(解析版) 题型:选择题

用一个圆心角为120°,半径为18cm 的扇形作一个圆锥的侧面,则这个圆锥的底面半径应等于( )

A.9cm B.6cm C.4cm D.3cm

查看答案和解析>>

科目:初中数学 来源:2017届山东潍坊诸城市九年级上期中数学卷(解析版) 题型:解答题

某工厂生产的某种产品按质量分为10个档次,第1档次(最低档次)的产品一天能生产76件,每件利润10元.每提高一个档次,每件利润增加2元.

(1)每件利润为14元时,此产品质量在第几档次?

(2)由于生产工序不同,产品每提高1个档次,一天产量减少4件.若生产第x档的产品一天的总利润为y元(其中x为正整数,且1≤x≤10),求出y关于x的函数关系式;若生产某档次产品一天的总利润为1080元,该工程生产的是第几档次的产品?

查看答案和解析>>

科目:初中数学 来源:2017届山东潍坊诸城市九年级上期中数学卷(解析版) 题型:填空题

观察下列等式

①sin30°= cos60°=

②sin45°= cos45°=

③sin60°= cos30°=

根据上述规律,计算sin2a+sin2(90°﹣a)=

查看答案和解析>>

科目:初中数学 来源:2017届山东潍坊诸城市九年级上期中数学卷(解析版) 题型:选择题

关于x的一元二次方程x2﹣5x+p2﹣2p+5=0的一个根为1,则实数p的值是( ).

A.4 B.0或2 C.1 D.﹣1

查看答案和解析>>

科目:初中数学 来源:2016-2017学年安徽安庆二十校八年级上期中联考数学卷(解析版) 题型:填空题

一次函数y=2x﹣3的截距是

查看答案和解析>>

科目:初中数学 来源:2016届山东聊城中考数学预测试卷(二)数学试卷(解析版) 题型:解答题

在徒骇河观景堤坝上有一段斜坡,为了方便游客通行,现准备铺上台阶,某施工队测得斜坡上铅锤的两棵树间水平距离AB=4米,斜坡距离BC=4.25米,斜坡总长DE=85米.

(1)求坡角∠D的度数(结果精确到1°)

(2)若这段斜坡用厚度为15cm的长方体台阶来铺,需要铺几级台阶?(最后一个高不足15cm时,按一个台阶计算)

(参考数据:cos20°≈0.94,sin20°≈0.34,sin18°≈0.31,cos18°≈0.95)

查看答案和解析>>

同步练习册答案