精英家教网 > 初中数学 > 题目详情

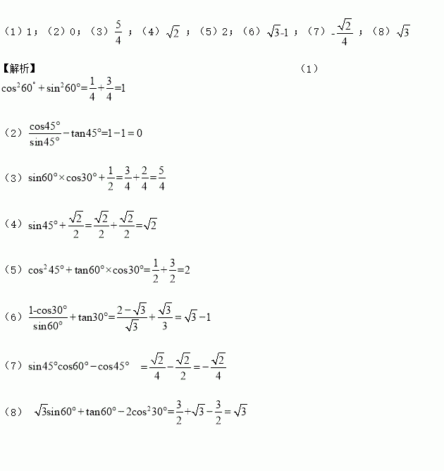
求下列各式的值:

(1)

(2)

(3)

(4)

(5)

(6)

(7)

(8)

练习册系列答案
相关习题

科目:初中数学 来源:2016-2017学年广东省深圳市七年级上学期期中考试数学试卷(解析版) 题型:单选题

下列各组数中,结果相等的是( )

A. B. C. D.

查看答案和解析>>

科目:初中数学 来源:2016-2017学年江苏省扬州市江都区5校联谊七年级下学期期中考试数学试卷(解析版) 题型:解答题

如图,在中, , ,垂足为, 平分

(1)已知,∠C=30°求的度数;

(2)已知,说明: .

查看答案和解析>>

科目:初中数学 来源:2016-2017学年江苏省扬州市江都区5校联谊七年级下学期期中考试数学试卷(解析版) 题型:单选题

在数学中,为了书写简便,我们通常记,如,则化简的结果是(   )

A. B. C. D.

查看答案和解析>>

科目:初中数学 来源:2016-2017学年江苏省扬州市江都区5校联谊七年级下学期期中考试数学试卷(解析版) 题型:单选题

计算x3•4x2的结果是(  )

A. 4x5 B. 5x6 C. 4x6 D. 5x5

查看答案和解析>>

科目:初中数学 来源:2017届黑龙江省鸡西市九年级上学期期末考试数学试卷(解析版) 题型:单选题

修建高速公路的过程中,施工队在工作了一段时间后,因暴雨被迫停工几天,暴雨过后施工队加快了施工进度,按时完成了工程任务,下面能反映该工程尚未修建的公路里程y(千米)与时间x(天)的函数关系的大致图象是(  )

A. B. C. D.

查看答案和解析>>

科目:初中数学 来源:2017届黑龙江省鸡西市九年级上学期期末考试数学试卷(解析版) 题型:填空题

在Rt△ABC中,∠C=90°,BC=,AB=,则∠B=_________.

查看答案和解析>>

科目:初中数学 来源:2016-2017学年浙江省桐乡市片区第二学期期中联考七年级数学试卷(解析版) 题型:填空题

如图,已知,把一张长方形纸片ABCD沿EF折叠后ED与BC的交点为G,D、C分别在M、N的位置上.若∠EFG=55°,求∠1和∠2的度数.

查看答案和解析>>

科目:初中数学 来源:2016-2017学年甘肃省八年级下学期第一次月考数学试卷(解析版) 题型:解答题

已知:如图,在Rt△ABC中,∠C=90°,沿过B点的一条直线BE折叠这个三角形, 使C点与AB边上的一点D重合.

(1)当∠A满足什么条件时,点D恰为AB的中点?写出一个你认为适当的条件,并利用此条件证明D为AB的中点;

(2)在(1)的条件下,若DE=1,求△ABC的面积.

查看答案和解析>>

同步练习册答案