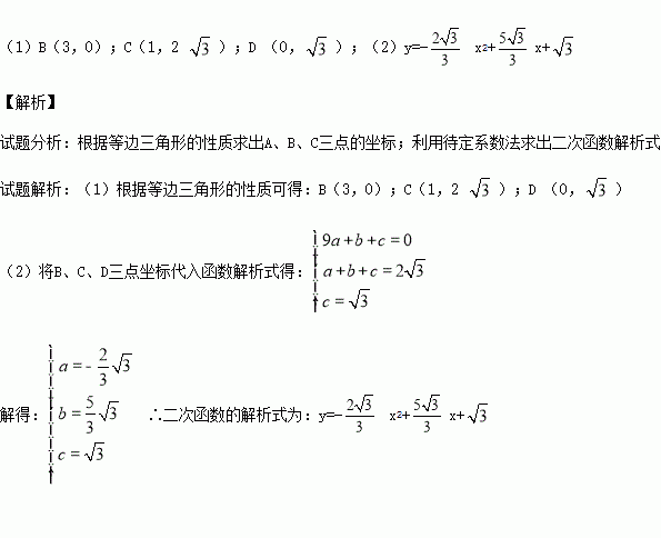
(9分)如图:△ABC是边长为4的等边三角形,AB在X轴上,点C在第一象限,AC与Y轴交于点D,点A的坐标为(-1,0)
![]()
(1)求 B、C、D三点的坐标;
(2)抛物线
经过B、C、D三点,求它的解析式;
科目:初中数学 来源:2016届江苏省无锡市南长区九年级上学期期中考试数学试卷(解析版) 题型:填空题
如图,⊙O的弦AB=8,直径CD⊥AB于M,OM:MD=3:2,则⊙O的半径为 .
![]()
查看答案和解析>>
科目:初中数学 来源:2016届河南省周口市九年级上学期期中考试数学试卷(解析版) 题型:解答题
我县某楼盘准备以每平方米4000元的均价对外销售,由于国务院有关房地产的新政策出台后,购房者持币观望,房地产开发商为了加快资金周转,对价格经过两次下调后,决定以每平方米3240元的均价开盘销售.
(1)求平均每次下调的百分率.
(2)某人准备以开盘价均价购买一套100平方米的住房,开发商给予以下两种优惠方案以供选择:①打9.8折销售;②不打折,一次性送装修费每平方米80元,试问哪种方案更优惠?
查看答案和解析>>
科目:初中数学 来源:2016届河南省周口市九年级上学期期中考试数学试卷(解析版) 题型:选择题
如图,阳光从教室的窗户射入室内,窗户框AB在地面上的影长DE=1.8 m,窗户下沿到地面的距离BC=1 m,EC=1.2 m,那么窗户的高AB为 ( )
![]()
A.2.16m B.1.86m C.1.6m D.1.5m
查看答案和解析>>
科目:初中数学 来源:2016届河南省安阳市龙安区九年级上学期第三次月考数学试卷(解析版) 题型:解答题
操作:在△ABC中,AC=BC=2,∠C=90°,将一块等腰三角形板的直角顶点放在斜边AB的中点P处,将三角板绕点P旋转,三角板的两直角边分别交射线AC、CB于D、E两点。图①,②,③是旋转三角板得到的图形中的3种情况。研究:
(1)三角板ABC绕点P旋转,观察线段PD和PE之间有什么数量关系?并结合图②加以证明。
(2)三角板ABC绕点P旋转,△PBE是否能为等腰三角形?若能,指出所有情况(即写出△PBE为等腰三角形时CE的长);若不能,请说明理由。(图④不用)
![]()
查看答案和解析>>
科目:初中数学 来源:2016届河南省安阳市龙安区九年级上学期第三次月考数学试卷(解析版) 题型:填空题
如图,AB是⊙O的弦,OC⊥AB于点C,如果 AB=
,OC=3,那么⊙O的半径等于 .
![]()
查看答案和解析>>
科目:初中数学 来源:2016届河南省安阳市龙安区九年级上学期第三次月考数学试卷(解析版) 题型:选择题
如图,⊙O是△ABC的外接圆,如果
,那么∠ACB的度数是( )
![]()
A.40° B.50° C.60° D.80°
查看答案和解析>>
科目:初中数学 来源:2016届广东省深圳市九年级上学期期中数学试卷(解析版) 题型:填空题
某机械厂七月份生产零件50万个,第三季度生产零件196万个.设该厂八、九月份平均每月的增长率为x,那么方程是 .
查看答案和解析>>
科目:初中数学 来源:2016届福建省漳州市九年级上学期第二次月考数学试卷(解析版) 题型:填空题
在一元二次方程x2+bx+c=0中,若系数b和c可在1,2,3,4,5,6中取值,则其中有实数解的方程的个数是 个.
查看答案和解析>>
湖北省互联网违法和不良信息举报平台 | 网上有害信息举报专区 | 电信诈骗举报专区 | 涉历史虚无主义有害信息举报专区 | 涉企侵权举报专区
违法和不良信息举报电话:027-86699610 举报邮箱:58377363@163.com