精英家教网 > 初中数学 > 题目详情

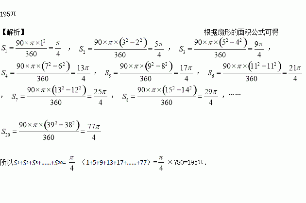
手机上常见的wifi标志如图所示,它由若干条圆心相同的圆弧组成,其圆心角为90°,最小的扇形半径为1.若每两个相邻圆弧的半径之差为1,由里往外的阴影部分的面积依次记为S1、S2、S3……,则S1+S2+S3+……+S20= ___________________.

练习册系列答案
相关习题

科目:初中数学 来源:2017届甘肃省定西市九年级下学期第一次教学检测数学(解析版) 题型:解答题

计算: cos45°.

查看答案和解析>>

科目:初中数学 来源:2016-2017学年四川省实验学校七年级衔接班3月月考数学试卷(解析版) 题型:解答题

认真阅读下面的材料,完成有关问题.

材料:在学习绝对值时,我们知道了绝对值的几何含义,如|5﹣3|表示5、3在数轴上对应的两点之间的距离;|5+3|=|5﹣(﹣3)|,所以|5+3|表示5、﹣3在数轴上对应的两点之间的距离;|5|=|5﹣0|,所以|5|表示5在数轴上对应的点到原点的距离.

(1)一般地,点A、B、C在数轴上分别表示有理数x、﹣2、1,那么A到B的距离与A到C的距离之和可表示为  (用含绝对值的式子表示).

(2)利用数轴探究:

①满足|x﹣3|+|x+1|=6的x的所有值是  

②|x﹣3|+|x+1|的最小值是  

查看答案和解析>>

科目:初中数学 来源:2016-2017学年四川省实验学校七年级衔接班3月月考数学试卷(解析版) 题型:单选题

点A,B在数轴上的位置如图所示,其对应的数分别是a和b.对于以下结论:

甲:b﹣a<0,乙:a+b>0,丙:|a|<|b|,丁: >0,其中正确的是(  )

A. 甲乙 B. 丙丁 C. 甲丙 D. 乙丁

查看答案和解析>>

科目:初中数学 来源:2017届山东省济南市槐荫区九年级学业水平考试第一次模拟考试数学试卷(解析版) 题型:解答题

某校数学综合实践小组的同学以“绿色出行”为主题,把某小区的居民对共享单车的了解和使用情况进行了问卷调查.在这次调查中,发现有20人对于共享单车不了解,使用共享单车的居民每天骑行路程不超过8千米,并将调查结果制作成统计图,如下图所示:

(1)本次调查人数共 人,使用过共享单车的有 人;

(2)请将条形统计图补充完整;

(3)如果这个小区大约有3000名居民,请估算出每天的骑行路程在2~4千米的有多少人?

查看答案和解析>>

科目:初中数学 来源:2017届山东省济南市槐荫区九年级学业水平考试第一次模拟考试数学试卷(解析版) 题型:单选题

如图,△ABC和△DEF的各顶点分别在双曲线在第一象限的图象上,若∠C=∠F=90°,AC∥DF∥x轴,BC∥EF∥y轴,则S△ABC-S△DEF=( )

A. B. C. D.

查看答案和解析>>

科目:初中数学 来源:2017届山东省济南市槐荫区九年级学业水平考试第一次模拟考试数学试卷(解析版) 题型:单选题

下列等式成立的是( )

A. B. C. D.

查看答案和解析>>

科目:初中数学 来源:2017届浙江省宁波市鄞州区九年级3月联考数学试卷(解析版) 题型:解答题

设点Q到图形W上每一个点的距离的最小值称为点Q到图形W的距离.例如正方形ABCD满足A(1,0),B(2,0),C(2,1),D(1,1),那么点O(0,0)到正方形ABCD的距离为1.

(1)如果⊙P是以(3,4)为圆心,1为半径的圆,那么点O(0,0)到⊙P的距离为

(2)求点到直线的距离;

(3)如果点到直线的距离为3,求a的值.

查看答案和解析>>

科目:初中数学 来源:2017届广东省深圳市九年级3月月考数学试卷(解析版) 题型:选择题

某商品的标价为200元,8折销售仍赚40元,则商品进价为( )元.

A.140 B.120 C.160 D.100

查看答案和解析>>

同步练习册答案