精英家教网 > 初中数学 > 题目详情

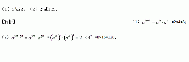
已知am=2,an=4,求下列各式的值

(1) am+n (2) a3m+2n

练习册系列答案
相关习题

科目:初中数学 来源:2016-2017学年浙江省七年级3月月考数学试卷(解析版) 题型:单选题

已知是二元一次方程组解,则m-n的值是( )

A. 1 B. 2 C. 3 D. 4

查看答案和解析>>

科目:初中数学 来源: 题型:填空题

19.在Rt△ABC中,∠A=90°,a=20,b=12,则c═4$\sqrt{34}$.

查看答案和解析>>

科目:初中数学 来源: 题型:解答题

16.如图,数轴上A、B所对应的数分别为-5、10,O为原点,点P以每秒2个单位长度,点Q以每秒3个单位长度,分别自A、B两点同时出发,在数轴上运动,设运动时间为t秒,若点P、Q相向而行且OP=OQ,求t值.

查看答案和解析>>

科目:初中数学 来源:2016-2017学年江苏省盐城市盐都区西片七年级下学期第一次月考数学试卷(解析版) 题型:解答题

如图①,在△ABC中,∠ABC与∠ACB的平分线相交于点P.

(1)如果∠A=80°,求∠BPC的度数;

(2)如图②,作△ABC外角∠MBC,∠NCB的角平分线交于点Q,试探索∠Q、∠A之间的数量关系.

(3)如图③,延长线段BP、QC交于点E,△BQE中,存在一个内角等于另一个内角的2倍,求∠A的度数.

查看答案和解析>>

科目:初中数学 来源:2016-2017学年江苏省盐城市盐都区西片七年级下学期第一次月考数学试卷(解析版) 题型:解答题

计算: a3·a5+(-a2)4-3a8

查看答案和解析>>

科目:初中数学 来源:2016-2017学年江苏省盐城市盐都区西片七年级下学期第一次月考数学试卷(解析版) 题型:填空题

若△ABC中,∠A:∠B:∠C=2:3:4,则△ABC是 三角形.(填:锐角或直角或钝角)

查看答案和解析>>

科目:初中数学 来源:2016-2017学年湖北省武汉市侏儒山街四校七年级3月月考数学试卷(解析版) 题型:填空题

用[x]表示不大于x的整数中最大的整数,如 [2.4]=2,[﹣3.1]=﹣4,请计算:

= _____________

查看答案和解析>>

科目:初中数学 来源: 题型:选择题

1.如图,△ABC中,∠A=90°,AC=$\frac{\sqrt{7}}{4}$AB,E是AB边上一点,连结CE,当CE=AB时,AE:EB的值是(  )
A.1B.2C.3D.4

查看答案和解析>>

同步练习册答案