精英家教网 > 初中数学 > 题目详情

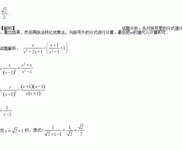
先化简,再求值: ,其中.

练习册系列答案
相关习题

科目:初中数学 来源:2017届江西省抚州市九年级下学期第一次月考数学试卷(解析版) 题型:解答题

(6分)有四张背面图案相同的卡片A、B、C、D,其正面分别画有四个不同的几何图形(如图).小敏将这四张卡片背面朝上洗匀摸出一张,放回洗匀再摸出一张.

(1)用树状图(或列表法)表示两次摸出卡片所有可能的结果;(卡片可用A、B、C、D表示)

(2)求摸出的两张卡片图形都是中心对称图形的概率.

查看答案和解析>>

科目:初中数学 来源:2016-2017学年山东省滨州市邹平双语学校一二区七年级上学期期中考试数学试卷(解析版) 题型:解答题

(8分) 粮库3天发生粮食进出库的吨数如下(“+”表示进库,“-”表示出库):

+26,-32,-15,+34,-38,-20.

(1)经过这3天,库里的粮食是增多还是减少了;

(2)经过这3天,仓库管理员结算发现库里还存480吨粮,那么3天前库里存粮多少吨?

(3)如果进出的装御费都是每吨5元,那么这3天要付多少装卸费?

查看答案和解析>>

科目:初中数学 来源:2016-2017学年山东省滨州市邹平双语学校一二区七年级上学期期中考试数学试卷(解析版) 题型:单选题

下列说法中,正确的是( )

A. 近似数117.08精确到十分位

B. 按科学记数法表示的数,其原数是50400

C. 将数60340精确到千位是

D. 用四舍五入法得到的近似数8.1750精确到千分位

查看答案和解析>>

科目:初中数学 来源:2016-2017学年广东省汕头市八年级下学期第一次月考数学试卷(解析版) 题型:解答题

如图,在矩形ABCD中,AB=12cm,BC=6cm,点P沿AB边从点A开始向点B以2cm/秒的速度移动;点Q沿DA边从点D开始向点A以1cm/秒的速度移动,如果P、Q同时出发,用t(秒)表示移动的时间(0<t<6).

(1)当t为何值时,△PBC为等腰直角三角形?

(2)求当移动到△QAP为等腰直角三角形时斜边QP的长.

查看答案和解析>>

科目:初中数学 来源:2016-2017学年广东省汕头市八年级下学期第一次月考数学试卷(解析版) 题型:填空题

如图,?ABCD的对角线AC与BD相交于点O,E为CD边中点,已知BC=6cm,则OE的长为__cm.

查看答案和解析>>

科目:初中数学 来源:2016-2017学年广东省汕头市八年级下学期第一次月考数学试卷(解析版) 题型:单选题

下面给出了四边形ABCD中∠A,∠B,∠C,∠D的度数之比,其中能判定四边形ABCD是平行四边形的是(  )

A. 1:2:3:4 B. 2:2:3:3 C. 2;3:2:3 D. 2:3:3:2

查看答案和解析>>

科目:初中数学 来源:2016-2017学年广东省高州市七年级上学期期中考试数学(A卷)(解析版) 题型:解答题

计算:

查看答案和解析>>

科目:初中数学 来源:2016-2017学年山东省滨州市邹平双语学校一二区七年级上学期期中考试数学试卷(解析版) 题型:单选题

表示东台某天早晨、中午和午夜的温度(单位:℃),则下列说法正确的是( )

A. 午夜与早晨的温差是11℃ B. 中午与午夜的温差是0℃

C. 中午与早晨的温差是11℃ D. 中午与早晨的温差是3℃

查看答案和解析>>

同步练习册答案