精英家教网 > 初中数学 > 题目详情

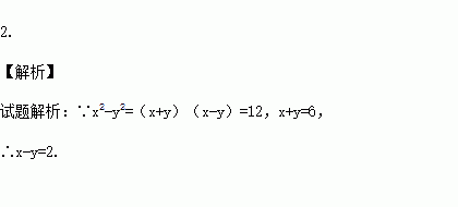
若x2-y2=12,x+y=6,则x-y=

练习册系列答案
相关习题

科目:初中数学 来源:2016届江苏省九年级下第一次调研数学试卷(解析版) 题型:选择题

某校九年级(1)班全体学生2015年初中毕业体育考试的成绩统计如下表:

成绩(分)

35

39

42

44

45

48

50

人数(人)

2

5

6

6

8

7

6

根据上表中的信息判断,下列结论中错误的是( )

A.该班一共有40名同学

B.该班学生这次考试成绩的众数是45分

C.该班学生这次考试成绩的中位数是45分

D.该班学生这次考试成绩的平均数是45分

查看答案和解析>>

科目:初中数学 来源:2015-2016学年江苏盐都区实验学校八年级下第一次段考数学试卷(解析版) 题型:填空题

如图,将Rt△ABC绕直角顶点C顺时针旋转90°,得到△A′B′C,连接AA′,若∠=20°,则∠B的度数是 .

查看答案和解析>>

科目:初中数学 来源:2015-2016学年江苏省无锡市江阴市要塞片七年级下学期期中数学试卷(解析版) 题型:解答题

先阅读再解题.

题目:如果(x-1)5=a1x5+a2x4+a3x3+a4x2+a5x+a6,求a6的值.

解这类题目时,可根据等式的性质,取x的特殊值,如x=0,1,-1…代入等式两边即可求得有关代数式的值.如:当x=0时,(0-1)5=a6,即a6=1.

请你求出下列代数式的值.

(1)a1+a2+a3+a4+a5

(2)a1-a2+a3-a4+a5.

查看答案和解析>>

科目:初中数学 来源:2015-2016学年江苏省无锡市江阴市要塞片七年级下学期期中数学试卷(解析版) 题型:计算题

计算

(1)

(2)(-2x)2•(x2)3•(-x)2

(3)(x-1)(x+2)-3x(x+3)

(4)(x-y)2-(x-2y)(x+2y)

查看答案和解析>>

科目:初中数学 来源:2015-2016学年江苏省无锡市江阴市要塞片七年级下学期期中数学试卷(解析版) 题型:选择题

如图,P为△ABC内一点,连接AP、BP、CP并延长分别交边BC、AC、AB于点D、E、F,则把△ABC分成六个小三角形,其中四个小三角形面积已在图上标明,则△ABC的面积为( )

A.300 B.315 C.279 D.342

查看答案和解析>>

科目:初中数学 来源:2015-2016学年江苏省无锡市江阴市要塞片七年级下学期期中数学试卷(解析版) 题型:选择题

下列现象:①电梯的升降运动,②飞机在地面上沿直线滑行,③风车的转动,④冷水加热过程中气泡的上升.其中属于平移的是( )

A.①② B.①③ C.②③ D.③④

查看答案和解析>>

科目:初中数学 来源:2015-2016学年江苏省无锡市江阴市要塞片八年级下学期期中数学试卷(解析版) 题型:填空题

当x 时,分式的值为0.当x 时,分式有意义.

查看答案和解析>>

科目:初中数学 来源:2015-2016学年江苏省泰州市姜堰区七年级下第一次月考数学试卷(解析版) 题型:解答题

(1)已知a-b=1,ab=-2,求(a+1)(b-1)的值;

(2)已知,求ab;

(3)已知x-y=2,y-z=2,x+z=4,求的值

查看答案和解析>>

同步练习册答案