精英家教网 > 初中数学 > 题目详情

如图,△ABC中,DE垂直平分AC交AB于E,∠A=30°,∠ACB=80°,则∠BCE= 度.

练习册系列答案
相关习题

科目:初中数学 来源:2016-2017学年江苏省东台市第二教育联盟八年级下学期期中考试数学试卷(解析版) 题型:填空题

利用分式的基本性质约分:=_________________.

查看答案和解析>>

科目:初中数学 来源:2016-2017学年江苏省东台市第二教育联盟七年级下学期期中考试数学试卷(解析版) 题型:填空题

如图,D,E分别是△ABC边AB,BC上的点,AD=2BD,BE=CE,设△ADF的面积为S1,△FCE的面积为S2,若S△ABC=6,则S1-S2的值为_________.

查看答案和解析>>

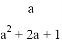
科目:初中数学 来源:2016-2017学年江苏省东台市第二教育联盟七年级下学期期中考试数学试卷(解析版) 题型:单选题

下列计算正确的是( )

A. a2•a3=a5 B. a2+a3=a5 C. (a3)2=a5 D. a3÷a2=1

查看答案和解析>>

科目:初中数学 来源:2017届山东省济南市历城区九年级第一次模拟考试数学试卷(解析版) 题型:解答题

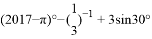
(1)计算:

(2)先化简,再求值:(1﹣)÷,其中a=﹣1.

查看答案和解析>>

科目:初中数学 来源:2017届山东省济南市历城区九年级第一次模拟考试数学试卷(解析版) 题型:单选题

如图,抛物线与x轴一个交点为(-2,0),对称轴为直线x=1,则y<0时x的范围是( )

A. x>4或x<-2 B. -2<x<4 C. -2<x<3 D. 0<x<3

查看答案和解析>>

科目:初中数学 来源:2017届山东省济南市历城区九年级第一次模拟考试数学试卷(解析版) 题型:单选题

下面四个手机应用图标中是轴对称图形的是( )

A. B. C. D.

查看答案和解析>>

科目:初中数学 来源:2017届上海市毕业生学业模拟考试数学试卷(解析版) 题型:填空题

不等式组的解集是

查看答案和解析>>

科目:初中数学 来源:2017届江苏省无锡市锡北片九年级下学期期中考试数学试卷(解析版) 题型:解答题

为“方便交通,绿色出行”,人们常选择以共享单车作为代步工具、图(1)所示的是一辆自行车的实物图.图(2)是这辆自行车的部分几何示意图,其中车架档AC与CD的长分别为45cm和60cm,且它们互相垂直,座杆CE的长为20cm.点A、C、E在同一条直线上,且∠CAB=75°.

(参考数据:sin75°=0.966,cos75°=0.259,tan75°=3.732)

图(1) 图(2)

(1)求车架档AD的长;

(2)求车座点E到车架档AB的距离(结果精确到1cm).

查看答案和解析>>

同步练习册答案