精英家教网 > 初中数学 > 题目详情

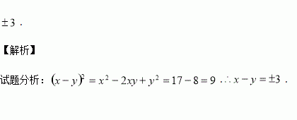
已知=17,xy=4,则x-y= .

练习册系列答案
相关习题

科目:初中数学 来源:2016届广东省广州市番禺区六校联合体九年级3月月考数学试卷(解析版) 题型:选择题

若方程的两根分别为,则的值是 ( )

A. B. C. D.

查看答案和解析>>

科目:初中数学 来源:2014-2015学年广西南宁市八年级上学期期中检测数学试卷(解析版) 题型:解答题

如图,已知∠C=∠D,∠CAB=∠DAB.

求证:BC=BD

 

查看答案和解析>>

科目:初中数学 来源:2014-2015学年广西南宁市八年级上学期期中检测数学试卷(解析版) 题型:选择题

下列能组成三角形的线段是( )

A. 3cm、2cm、6cm B.4cm、3cm、5cm

C. 2cm、4cm、6cm D.3cm、6cm、9cm

查看答案和解析>>

科目:初中数学 来源:2015-2016学年江苏省江都市七年级下第一次月考数学试卷(解析版) 题型:解答题

分解因式:

(1) (2) 25x2﹣81y2

(3)x3﹣2x2y+xy2 (4)

(5)a4-1 (6)a4-18a2+81

查看答案和解析>>

科目:初中数学 来源:2015-2016学年江苏省江都市七年级下第一次月考数学试卷(解析版) 题型:填空题

如果x+4y-3=0,那么2x·16y= .

查看答案和解析>>

科目:初中数学 来源:2015-2016学年江苏省江都市七年级下第一次月考数学试卷(解析版) 题型:选择题

在下列多项式的乘法中,可以用平方差公式计算的是( )

A、(x+3)(3+x) B、(a+)() C、(-x+y)(x-y) D、 (a2-b)(a+b2)

查看答案和解析>>

科目:初中数学 来源:2016届湖南省郴州市九年级上学期期末考试数学试卷(解析版) 题型:填空题

关于x的方程(m-3) -3x-4=0是一元二次方程,则m=

查看答案和解析>>

科目:初中数学 来源:2016届北大附中河南分校九年级3月月考数学试卷(解析版) 题型:解答题

如图,二次函数的图象与x轴交于A(3,0),B(﹣1,0)两点,与y轴相交于点C(0,﹣4).

(1)求该二次函数的解析;

(2)若点P、Q同时从A点出发,以每秒1个单位长度的速度分别沿AB、AC边运动,其中一点到达端点时,另一点也随之停止运动.

①当点P运动到B点时,在x轴上是否存在点E,使得以A、E、Q为顶点的三角形为等腰三角形?若存在,请求出E点的坐标;若不存在,请说明理由.

②当P、Q运动到t秒时,△APQ沿PQ翻折,点A恰好落在抛物线上D点处,请直接写出t的值及D点的坐标.

查看答案和解析>>

同步练习册答案