精英家教网 > 初中数学 > 题目详情

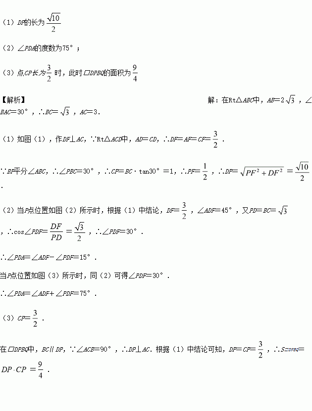
(10分)将一副三角尺如图拼接:含30°角的三角尺(△ABC)的长直角边与含45°角的三角尺(△ACD)的斜边恰好重合.已知AB=2,P是AC上的一个动点.

(1)当点P运动到∠ABC的平分线上时,连接DP,求DP的长;

(2)当点P在运动过程中出现PD=BC时,求此时∠PDA的度数;

(3)当点P运动到什么位置时,以D,P,B,Q为顶点的平行四边形的顶点Q恰好在边BC上?求出此时□DPBQ的面积.

练习册系列答案
相关习题

科目:初中数学 来源:2016-2017学年江苏省扬州市邗江区七年级下学期期中考试数学试卷(解析版) 题型:填空题

如图,把一个的直角三角尺的直角顶点放在直尺的一边上,已知∠A=30°则∠1+∠2=______°.

查看答案和解析>>

科目:初中数学 来源:2016-2017学年江苏省扬州市邗江区八年级下学期期中考试数学试卷(解析版) 题型:解答题

如图,在四边形ABCD中,∠ABC=90°,AC=AD,M,N分别为AC,CD的中点,连接BM,MN,BN.

(1)求证:BM=MN;

(2)若∠BAD=60°,AC平分∠BAD,AC=2,求BN的长.

查看答案和解析>>

科目:初中数学 来源:2016-2017学年江苏省扬州市邗江区八年级下学期期中考试数学试卷(解析版) 题型:填空题

袋子里有5只红球,3只白球,每只球除颜色以外都相同,从中任意摸出1只球,是红球的可能性________(选填“大于”“小于”或“等于”)是白球的可能性.

查看答案和解析>>

科目:初中数学 来源:2016-2017学年江苏省扬州市邗江区八年级下学期期中考试数学试卷(解析版) 题型:单选题

为了了解2016年扬州市九年级学生学业水平考试的数学成绩,从中随机抽取了1000名学生的数学成绩.下列说法正确的是(  )

A. 2016年扬州市九年级学生是总体 B. 每一名九年级学生是个体

C. 1000名九年级学生是总体的一个样本 D. 样本容量是1000

查看答案和解析>>

科目:初中数学 来源:2017届河南省九年级下学期第二次模拟考试数学试卷(解析版) 题型:解答题

先化简,再求值: ,其中

查看答案和解析>>

科目:初中数学 来源:2017届河南省九年级下学期第二次模拟考试数学试卷(解析版) 题型:填空题

分解因式: ______________.

查看答案和解析>>

科目:初中数学 来源:2017届山东省临沂市蒙阴县九年级第一轮模拟考试数学试卷(解析版) 题型:填空题

如图,将矩形纸片ABCD折叠,使点D与点B重合,点C落在C'处,折痕为EF,若AB=1,BC=2,则△ABE和△的周长之和是____________.

查看答案和解析>>

科目:初中数学 来源:2017届上海市奉贤区九年级4月调研测试(二模)数学试卷(解析版) 题型:单选题

下列算式的运算为的是( )

A. B. C. D.

查看答案和解析>>

同步练习册答案