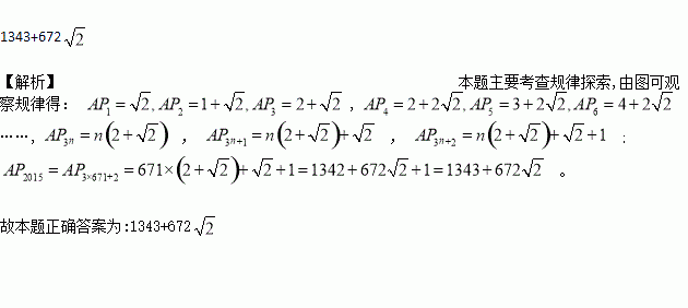
如图,等腰Rt△ABC中,∠ACB=90°,AC=BC=1,且AC边在直线a上,将△ABC绕点A顺时针旋转到位置①可得到点
,此时
;将位置①的三角形绕点P1顺时针旋转到位置②,可得到点
,此时
;将位置②的三角形绕点P2顺时针旋转到位置③,可得到点
,此时
;…,按此规律继续旋转,直至得到点
为止.则
=________.
![]()
科目:初中数学 来源:江苏省句容市、丹阳市2017届九年级下学期中考网上阅卷第二次适应性检测(二模)数学试卷 题型:单选题
某商场一楼与二楼之间的手扶电梯如图所示.其中AB、CD分别表示一楼、二楼地面的水平线,∠ABC=150°,BC的长是8 m,则乘电梯从点B到点C上升的高度h是( )
![]()
A.
m B. 8 m C.
m D. 4 m
查看答案和解析>>
科目:初中数学 来源:江西省吉安市2017届九年级下学期六校联考数学试卷 题型:解答题
如图,已知抛物线y=-
x2+bx+6与x轴交于点A(﹣6,0)和点B,与y轴交于点C.
(1)求该抛物线的解析式;
(2)写出顶点的坐标,并求AB的长;
(3)若点A,O,C均在⊙D上,请写出点D的坐标,连接BC,并判断直线BC与⊙D的位置关系.
![]()
查看答案和解析>>
科目:初中数学 来源:江西省吉安市2017届九年级下学期六校联考数学试卷 题型:单选题
甲骨文是我国的一种古代文字,是汉字的早期形式,下列甲骨文中,不是轴对称的是( )
A.
B.
C.
D. ![]()
查看答案和解析>>
科目:初中数学 来源:山东省淄博市高青县2017届中考一模数学试卷 题型:解答题
为了抓住商机,某商店决定购进A、B两种艺术节纪念品.若购进A种纪念品8件, B种纪念品3件,需要950元;若购进A种纪念品5件,B种纪念品6件,需要800元.
(1)求购进A、B两种纪念品每件各需多少元?
(2)若该商店决定购进这两种纪念品共100件,考虑市场需求和资金周转,用于购买这100件纪念品的资金不少于7500元,但不超过7650元,那么该商店共有几种进货方案?
(3)若销售每件A种纪念品可获利润20元,每件B种纪念品可获利润30元,在第(2)问的各种进货方案中,哪一种方案获利最大?最大利润是多少元?
查看答案和解析>>
科目:初中数学 来源:山东省淄博市高青县2017届中考一模数学试卷 题型:选择题
如图,在平面直角坐标系中,四边形OABC是菱形,点C的坐标为(4,0),∠AOC=60°,垂直于x轴的直线l从y轴出发,沿x轴正方向以每秒1个单位长度的速度向右平移,设直线l与菱形OABC的两边分别交于点M,N(点M在点N的上方),若△OMN的面积为S,直线l的运动时间为t 秒(0≤t≤4),则能大致反映S与t的函数关系的图象是( )
![]()
A.
B.
C.
D.![]()
查看答案和解析>>
科目:初中数学 来源:山东省淄博市高青县2017届中考一模数学试卷 题型:单选题
如图,四边形ABCD的对角线互相平分,要使它变为矩形,需要添加的条件是( )
![]()
A. AB=CD B. AD=BC C. AB=BC D. AC="BD"
查看答案和解析>>
科目:初中数学 来源:山东省淄博市周村区2017届中考一模数学试卷 题型:解答题
小明在操场上做游戏,他发现地上有一个不规则的封闭图形ABC.为了知道它的面积,他在封闭图形内划出了一个半径为1米的圆,在不远处向图形内掷石子,且记录如下:
![]()
(1)随着次数的增多,小明发现m与n的比值在一个常数k附近波动,请你写出k的值。
(2)请利用学过的知识求出封闭图形ABC的大致面积。
查看答案和解析>>
湖北省互联网违法和不良信息举报平台 | 网上有害信息举报专区 | 电信诈骗举报专区 | 涉历史虚无主义有害信息举报专区 | 涉企侵权举报专区
违法和不良信息举报电话:027-86699610 举报邮箱:58377363@163.com