精英家教网 > 初中数学 > 题目详情

二次函数y=﹣x2﹣2x+3图像的顶点坐标为__________________.

练习册系列答案
相关习题

科目:初中数学 来源:2017届甘肃省九年级下学期期中考试数学试卷(解析版) 题型:单选题

下列运算中正确的是( )

A. B. C. D.

查看答案和解析>>

科目:初中数学 来源:2016-2017学年江苏省苏州市高新区八年级下学期期中测试数学试卷(解析版) 题型:填空题

如图,四边形ABCD是正方形,延长AB到E,使AE=AC,则∠BCE的度数是 度.

查看答案和解析>>

科目:初中数学 来源:2017届江苏省泰州市姜堰区九年级中考适应性考试(一)数学试卷(解析版) 题型:解答题

如图,AB、CD分别表示两幢相距36米的大楼,小明同学站在CD大楼的P处窗口观察AB大楼的底部B点的俯角为45°,观察AB大楼的顶部A点的仰角为30°.

(1)求PD的高;

(2)求大楼AB的高.

查看答案和解析>>

科目:初中数学 来源:2017届江苏省泰州市姜堰区九年级中考适应性考试(一)数学试卷(解析版) 题型:填空题

如图,内接于⊙O,直径AB=8,D为BA延长线上一点且AD=4,E为线段CD上一点,满足∠EAC=∠BAC,则AE=_________.

查看答案和解析>>

科目:初中数学 来源:2017届江苏省泰州市姜堰区九年级中考适应性考试(一)数学试卷(解析版) 题型:单选题

某体校要从四名射击选手中选拔一名参加省体育运动会,选拔赛中每名选手连续射靶10次,他们各自的平均成绩及其方差S2如下表所示:

如果要选出一名成绩高且发挥稳定的选手参赛,则应选择的选手是(  )

A. 甲 B. 乙 C. 丙 D. 丁

查看答案和解析>>

科目:初中数学 来源:2017届浙江省嵊州市数学试卷《考前磨刀(一)》(解析版) 题型:解答题

在平面直角坐标系中,一次函数y=ax+b(a≠0)的图形与反比例函数y=(k≠0)的图象交于第二、四象限内的A、B两点,与y轴交于C点,过点A作AH⊥y轴,垂足为H,OH=3,tan∠AOH=,点B的坐标为(m,-2).

(1)求△AHO的周长;

(2)求该反比例函数和一次函数的解析式.

查看答案和解析>>

科目:初中数学 来源:2017届浙江省嵊州市数学试卷《考前磨刀(一)》(解析版) 题型:单选题

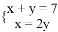
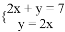
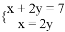
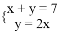
已知甲、乙两数的和是7,甲数是乙数的2倍.设甲数为x,乙数为y,根据题意,列方程组正确的是(  )

A. B. C. D.

查看答案和解析>>

科目:初中数学 来源:2016-2017学年江苏省宜兴市八年级下学期期中考试数学试卷(解析版) 题型:填空题

在平面直角坐标系中,边长为3的正方形OABC的两顶点A、C分别在y轴、x轴的正半轴上,点O在原点。现将正方形OABC绕O点顺时针旋转,当A点第一次落在直线y=x上时停止旋转,旋转过程中,AB边交直线y=x于点M,BC边交x轴于点N(如图).在旋转正方形OABC的过程中,△MBN的周长为___________.

查看答案和解析>>

同步练习册答案