精英家教网 > 初中数学 > 题目详情

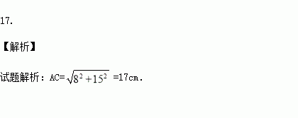
在△ABC中,AB=8cm,BC=15cm,要使∠B=90°,则AC的长必为 cm.

练习册系列答案
相关习题

科目:初中数学 来源:2016届安徽省毕业班五校第四次联考数学试卷(解析版) 题型:计算题

计算:.

查看答案和解析>>

科目:初中数学 来源:2015-2016学年甘肃省八年级下学期第一次月考数学试卷(解析版) 题型:解答题

解不等式组,并将解集在数轴上表示出来.

查看答案和解析>>

科目:初中数学 来源:2015-2016学年甘肃省八年级下学期第一次月考数学试卷(解析版) 题型:选择题

如果,那么下列各式中正确的是( )

A. B. C. D.

查看答案和解析>>

科目:初中数学 来源:2015-2016学年甘肃定西安定区公园路中学八年级下第一次月考数学卷(解析版) 题型:解答题

从旗杆的顶端系一条绳子,垂到地面还多2米,小敏拉起绳子下端绷紧,刚好接触地面,发现绳子下端距离旗杆底部8米,小敏马上计算出旗杆的高度,你知道她是如何解的吗?

查看答案和解析>>

科目:初中数学 来源:2015-2016学年甘肃定西安定区公园路中学八年级下第一次月考数学卷(解析版) 题型:填空题

如图,一根树在离地面9米处断裂,树的顶部落在离底部12米处.树折断之前有 米.

查看答案和解析>>

科目:初中数学 来源:2015-2016学年甘肃定西安定区公园路中学八年级下第一次月考数学卷(解析版) 题型:选择题

如图,正方形小方格边长为1,则网格中的△ABC是( )

A.直角三角形 B.锐角三角形 C.钝角三角形 D.以上答案都不对

查看答案和解析>>

科目:初中数学 来源:2016届江苏省盐城市东台市一教九年级下学期第一次月考数学试卷(解析版) 题型:解答题

(1)计算:

(2)解方程:

查看答案和解析>>

科目:初中数学 来源:2015-2016学年湖南省八年级下第一次月考数学试卷(解析版) 题型:选择题

在?ABCD中,如果∠A+∠C=140°,那么∠C等于( )

A.20° B.40° C.60° D.70°

查看答案和解析>>

同步练习册答案