精英家教网 > 初中数学 > 题目详情

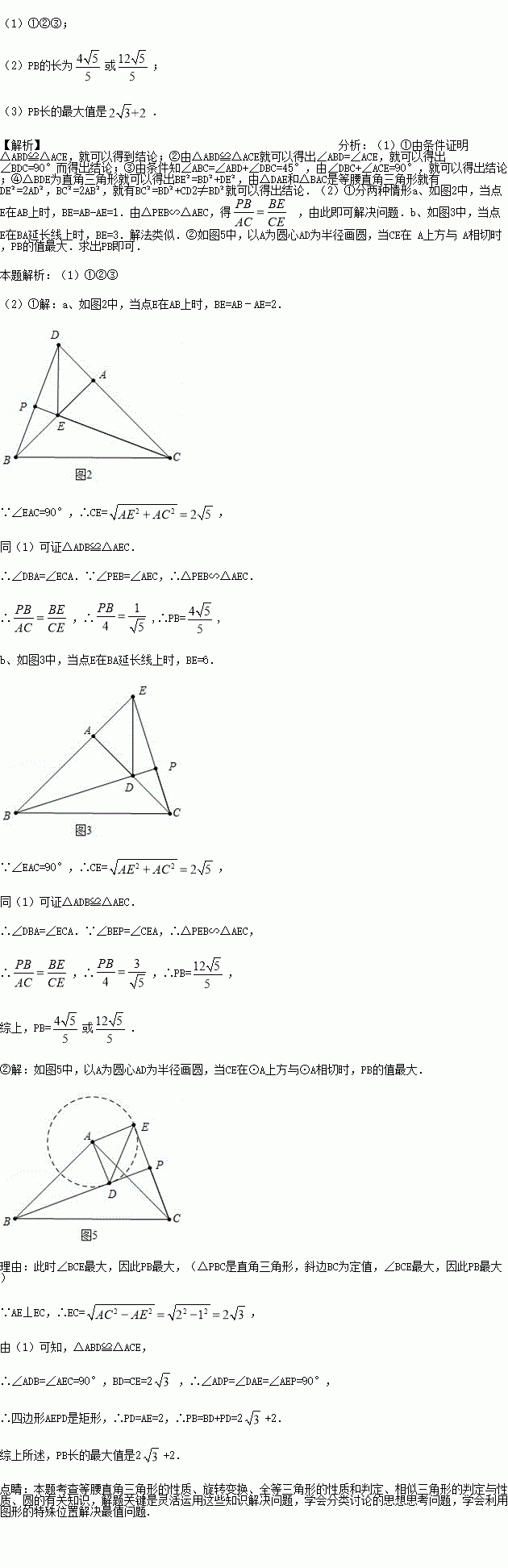
如图乙,△ABC和△ADE是有公共顶点的等腰直角三角形,∠BAC=∠DAE=90°,点P为射线BD,CE的交点.

(1)如图甲,将△ADE绕点A 旋转,当C、D、E在同一条直线上时,连接BD、BE,则下列给出的四个结论中,其中正确的是 .

(2)若AB=4,AD=2,把△ADE绕点A旋转,

①当∠EAC=90°时,求PB的长;

②求旋转过程中线段PB长的最大值.

练习册系列答案
相关习题

科目:初中数学 来源:[中学联盟]江苏省无锡市前洲中学2016-2017学年八年级5月月考数学试卷 题型:解答题

如图,在边长为6的正方形ABCD中,E是边CD的中点,将△ADE沿AE对折至△AFE,延长EF交边BC于点G,连接AG.

(1)求证:△ABG≌△AFG;(2)求BG的长.

查看答案和解析>>

科目:初中数学 来源:[首发]山东省2017届九年级学业水平模拟测试数学试卷 题型:单选题

函数自变量x的取值范围是( )

A. 全体实数 B. x>0 C. x≥0且x≠1 D. x>1

查看答案和解析>>

科目:初中数学 来源:福建省龙岩市2017年九年级学业(升学)质量检查数学试卷(word版) 题型:填空题

计算: _______.

查看答案和解析>>

科目:初中数学 来源:福建省龙岩市2017年九年级学业(升学)质量检查数学试卷(word版) 题型:单选题

下列四个几何体中,主视图与俯视图相同的是( )

A. B. C. D.

查看答案和解析>>

科目:初中数学 来源:江苏省2017年中考二模数学试卷 题型:解答题

考试前,同学们总会采用各种方式缓解考试压力,以最佳状态迎接考试.某校对该校九年级的部分同学做了一次内容为“最适合自己的考前减压方式”的调查活动,学校将减压方式分为五类,同学们可根据自己的情况必选且只选其中一类.数据收集整理后,绘制了图1和图2两幅不完整的统计图,请根据统计图中的信息解答下列问题:

(1)请通过计算,补全条形统计图;

(2)请直接写出扇形统计图中“享受美食”所对应圆心角的度数为  

(3)根据调查结果,可估计出该校九年级学生中减压方式的众数和中位数分别是    

查看答案和解析>>

科目:初中数学 来源:江苏省2017年中考二模数学试卷 题型:填空题

无论m取什么实数,点A(m+1,2m﹣2)都在直线l上.若点B(a,b)是直线l上的动点,(2a﹣b﹣5)2017的值等于__.

查看答案和解析>>

科目:初中数学 来源:广西南宁市 2017年九年级数学中考模拟测试卷 题型:解答题

为了解中考体育科目训练情况,某区从九年级学生中抽取了部分学生进行了一次中考体育科测试(把测试结果分为四个等级:A级:优秀;B级:良好;C级:及格;D级:不及格),并将测试结果绘成了如下两幅不完整的统计图.请根据统计图中的信息解答下列问题:

(1)本次抽样测试的学生人数是

(2)图1中∠α的度数是 ,并把图2条形统计图补充完整;

(3)该区九年级有学生4000名,如果全部参加这次体育测试,请估计不及格的人数为

(4)测试老师想从4位同学(分别记为E、F、G、H,其中E为小明)中随机选择两位同学了解平时训练情况,请用列表或画树状图的方法求出选中小明的概率.

查看答案和解析>>

科目:初中数学 来源:四川省青神县2017届九年级教学质量监测数学试卷 题型:单选题

下列命题中,真命题是( )

A. 任何数的零次幂都等于1

B. 对角线相等且垂直的四边形是正方形

C. 有一条边相等的两个等腰直角三角形全等

D. 有两条直角边对应相等的两个直角三角形全等

查看答案和解析>>

同步练习册答案