精英家教网 > 初中数学 > 题目详情

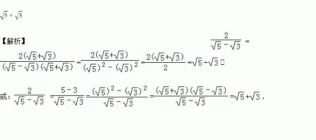
在进行二次根式的运算时,如遇到这样的式子,还需做进一步的化简:

====﹣1.

还可以用以下方法化简:

====﹣1.

这种化去分母中根号的运算叫分母有理化.

分别用上述两种方法化简:

练习册系列答案
相关习题

科目:初中数学 来源:苏科版七年级数学 下册 第8章 幂的运算 同步练习 题型:填空题

(m-1) n÷mn=___________.

查看答案和解析>>

科目:初中数学 来源:苏科版七年级数学 下册 第8章 幂的运算 同步练习 题型:单选题

下列计算不正确的是( )

A. m=0=1 B. m÷(p)=m-n-p

C. (-x) 5÷(-x) 4=-x D. 9-3÷(3-3) 2=l

查看答案和解析>>

科目:初中数学 来源:江苏省扬州市江都区五校联谊2016-2017学年八年级下学期第二次月考考试数学试卷 题型:填空题

如图,已知的对角线AC、BD相交于点O,点E是CD的中点,若BD=12cm, △DOE的周长为15cm,则的周长为______cm.

查看答案和解析>>

科目:初中数学 来源:江苏省扬州市江都区五校联谊2016-2017学年八年级下学期第二次月考考试数学试卷 题型:单选题

今年江都区有近8千名考生参加中考,为了了解这些考生的数学成绩,从中抽取500名考生的数学成绩进行统计分析,以下说法正确的是(  )

A. 这500名考生是总体的一个样本 B. 近8千名考生的数学成绩之和是总体

C. 每位考生的数学成绩是个体 D. 样本容量是100名学生

查看答案和解析>>

科目:初中数学 来源:2017年春苏科版数学八年级下册第十二章二次根式单元试卷 题型:解答题

计算:

①(3﹣)(3+)+(2﹣

查看答案和解析>>

科目:初中数学 来源:2017年春苏科版数学八年级下册第十二章二次根式单元试卷 题型:单选题

化简,结果是(  )

A. 6x﹣6 B. ﹣6x+6 C. ﹣4 D. 4

查看答案和解析>>

科目:初中数学 来源:江苏省靖江市2016届九年级下学期中考复习周练数学试卷 题型:填空题

如图,PA,PB是⊙O是切线,A,B为切点, AC是⊙O的直径,若∠BAC=25°,则∠P= _度.

查看答案和解析>>

科目:初中数学 来源:江苏省2017届九年级下学期第三次模拟考试数学试卷 题型:单选题

在下列四个几何体中,主视图与俯视图都是圆的为( )

A. B. C. D.

查看答案和解析>>

同步练习册答案