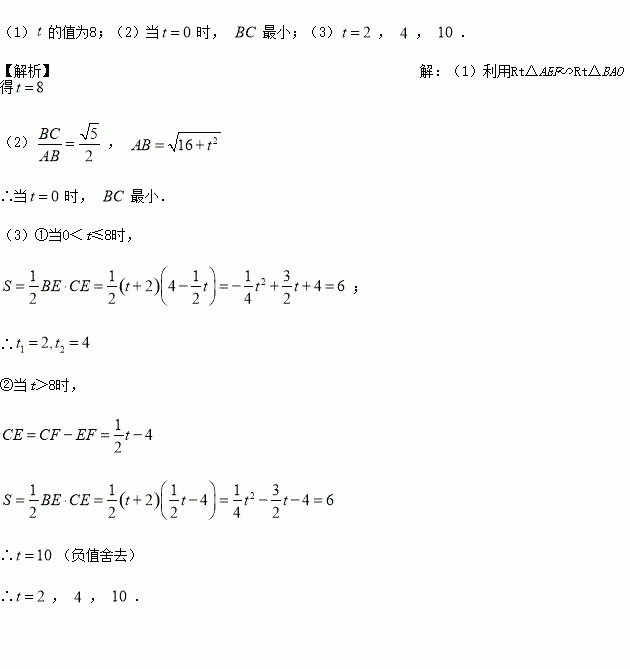
如图,点A从坐标原点出发,沿x轴的正方向运动,点B坐标为
,M是线段AB的中点,将点M绕点A顺时针方向旋转90°得到点C,过点C作x轴的垂线,垂足为F,过点B作y轴的垂线与直线CF相交于点E,连接AC,BC,设点A的横坐标为t.
(1)当点C与点E恰好重合时,求t的值;
(2)当t为何值时,BC取得最小值;
(3)设△BCE的面积为S,当S=6时,求t的值.![]()
![]()
科目:初中数学 来源:四川省成都市双流区2017年中考适应性训练数学试卷 题型:解答题
如图,小明在一块平地上测山高,先在B处测得山顶A的仰角为30°,然后向山脚直行100米到达C处,再测得山顶A的仰角为45°,那么山高AD为多少米?(结果保留整数,测角仪忽略不计,
≈1.414,
≈1.732)
![]()
查看答案和解析>>
科目:初中数学 来源:[首发]江苏省灌云县西片2016-2017学年七年级下学期第二次月考(5月)数学试卷 题型:单选题
已知
是方程3mx﹣y=﹣1的解,则m的值是( )
A. ﹣3 B. 3 C. ﹣
D. ![]()
查看答案和解析>>
科目:初中数学 来源:[中学联盟]甘肃省武威市民勤实验中学2016-2017学年七年级下学期期中考试数学试卷 题型:单选题
如图,AB∥CD,DE⊥CE,∠1=34°,则∠DCE的度数为( )
![]()
A. 34° B. 56° C. 66° D. 54°
查看答案和解析>>
科目:初中数学 来源:江苏省镇江丹阳市2017届中考二模数学试卷 题型:解答题
如图,在平行四边形ABCD中,AB<BC.
(1)利用尺规作图,在AD边上确定点E,使点E到边AB,BC的距离相等(不写作法,保留作图痕迹);
(2)若BC=8,CD=5,则DE= .
![]()
查看答案和解析>>
科目:初中数学 来源:江苏省镇江丹阳市2017届中考二模数学试卷 题型:单选题
下列事件中,是必然事件的为 ( )
A. 明天会下雨 B. 打开电视机,正在播放动画片
C. 三角形内角和为180° D. 经过一个路口,信号灯刚好是红灯
查看答案和解析>>
科目:初中数学 来源:【全国百强校】山东省东营市2017届九年级5月模拟数学试卷 题型:填空题
从﹣3,﹣2,﹣1,0,1,3,4这七个数中随机抽取一个数记为a,a的值既是不等式组
的解,又在函数y=
的自变量取值范围内的概率是__________.
查看答案和解析>>
科目:初中数学 来源:湖南省湘潭市2017届九年级学业模拟考试数学试卷(四月份) 题型:解答题
在平面直角坐标系中,抛物线过原点O,且与
轴交于另一点
,其顶点为
.孔明同学用一把宽为
带刻度的矩形直尺对抛物线进行如下测量:
① 量得
;② 把直尺的左边与抛物线的对称轴重合,使得直尺左下端点与抛物线的顶点重合(如图1),测得抛物线与直尺右边的交点
的刻度读数为
.
请完成下列问题:
(1)写出抛物线的对称轴;(2)求抛物线的解析式;(3)将图中的直尺(足够长)沿水平方向向右平移到点
的右边(如图2),直尺的两边交
轴于点
、
,交抛物线于点
、
.求证:
.
![]()
![]()
图1 图2
查看答案和解析>>
湖北省互联网违法和不良信息举报平台 | 网上有害信息举报专区 | 电信诈骗举报专区 | 涉历史虚无主义有害信息举报专区 | 涉企侵权举报专区
违法和不良信息举报电话:027-86699610 举报邮箱:58377363@163.com