精英家教网 > 初中数学 > 题目详情

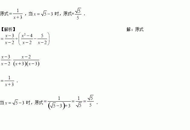
先化简,再求值: ,其中

练习册系列答案
相关习题

科目:初中数学 来源:【全国区级联考】福建省仙游县第六片区2017届九年级毕业模拟数学试卷 题型:单选题

某校在“校园十佳歌手”比赛上,六位评委给1号选手的评分如下:90,96,91,96,95,94.那么这组数据的众数和中位数分别是( )

A. 95,94.5 B. 96,95 C. 95,95 D. 96,94.5

查看答案和解析>>

科目:初中数学 来源:[中学联盟]重庆市第四十二中学2016-2017学年七年级下学期期中考试数学试卷 题型:解答题

解方程或方程组

(1) (2)

(3)(1﹣2x)2﹣36=0 (4)2(x﹣1)3=

查看答案和解析>>

科目:初中数学 来源:[中学联盟]重庆市第四十二中学2016-2017学年七年级下学期期中考试数学试卷 题型:单选题

下列不属于二元一次方程组的是(  )

A. B. C. D.

查看答案和解析>>

科目:初中数学 来源:江西省南昌市青山湖区2017届九年级5月月考数学试卷 题型:解答题

如图,矩形ABCD中,AB=1,BC=2,BC在x轴上,反比例函数的图象经过点A.一次函数y=kx-2的图象经过A、C两点,且与y轴交于点E.

(1)直接写出点E、C的坐标;

(2)求反比例函数的解析式;

(3)根据图象写出当x>0,且一次函数的值大于反比例函数的值时,x的取值范围.

查看答案和解析>>

科目:初中数学 来源:江西省南昌市青山湖区2017届九年级5月月考数学试卷 题型:填空题

不等式组的解集为__________.

查看答案和解析>>

科目:初中数学 来源:江西省南昌市青山湖区2017届九年级5月月考数学试卷 题型:单选题

在△ABC中,∠A=35°,∠B=65°,则这个三角形是( ).

A. 直角三角形 B. 锐角三角形 C. 钝角三角形 D. 等腰三角形

查看答案和解析>>

科目:初中数学 来源:福建省仙游县郊尾、枫亭五校教研小片区2016-2017学年七年级下学期期中考试数学试卷 题型:解答题

已知关于的二元一次方程组的解满足之和为2,求a的值.

查看答案和解析>>

科目:初中数学 来源:浙江省杭州市拱墅区、滨江区、下城区2017年中考一模数学试卷及答案(word版) 题型:单选题

下列计算正确的是( )

A. x4 +x2 =x6 B. (a +b)2 =a2 +b2

C. (3x2 y)2 =6x4 y 2 D. (-m)7 ÷(-m)2 =-m5

查看答案和解析>>

同步练习册答案