精英家教网 > 初中数学 > 题目详情

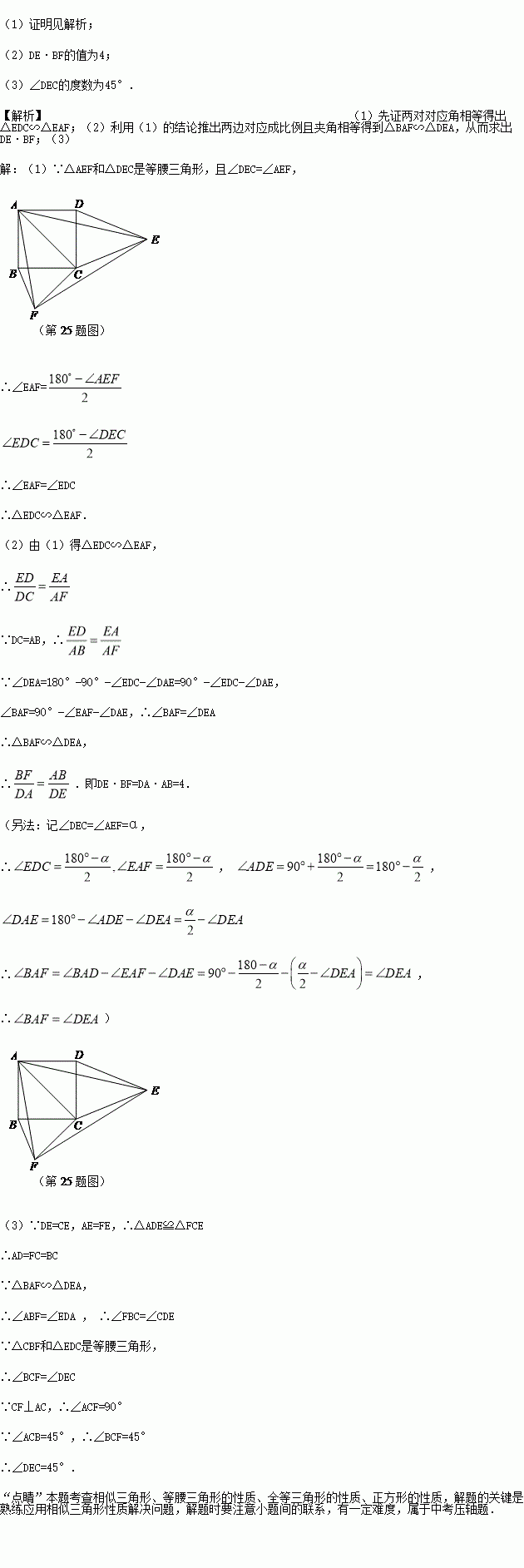
如图,已知正方形ABCD的边长为2,以DC为底向正方形外作等腰△DEC,连接AE,以AE为腰作等腰△AEF,使得EA=EF,且∠DEC=∠AEF.

(1)求证:△EDC∽△EAF;

(2)求DE·BF的值;

(3)连接CF、AC,当CF⊥AC时,求∠DEC的度数.

练习册系列答案
相关习题

科目:初中数学 来源:河北石家庄市2017年九年级中考模拟测数学试卷 题型:解答题

查看答案和解析>>

科目:初中数学 来源:【全国区级联考】湖北省襄阳市樊城区2017届(5月)中考数学模拟考试试卷 题型:单选题

下列说法中,正确的是

A. “打开电视,正在播放新闻联播节目”是必然事件

B. 某种彩票中奖概率为10%是指买10张一定有一张中奖

C. 了解某种节能灯的使用寿命应采用全面检查

D. 一组数据3,5,4,6,7的中位数是5,方差是2

查看答案和解析>>

科目:初中数学 来源:【全国区级联考】湖北省襄阳市宜城区2017届(5月)中考模拟考试数学试卷 题型:填空题

若函数是正比例函数,则该函数的图象经过第____象限.

查看答案和解析>>

科目:初中数学 来源:【全国区级联考】湖北省襄阳市宜城区2017届(5月)中考模拟考试数学试卷 题型:单选题

如图,是某几何体的三视图及相关数据,则该几何体的表面积是( )

A. 39π B. 29π C. 24π D. 19π

查看答案和解析>>

科目:初中数学 来源:【全国市毕业班适应性检测数学试卷 题型:解答题

如图是由24个边长为1的小正方形组成的6×4网格,此时小正方形的顶点称为格点,顶点在格点上的三角形称为格点三角形.已知△ABC中,AB =2,AC=,BC =.

(1)在图1所给的网格中画出格点△ABC;

(2)在图2所给的网格中共能画出 个与△ABC相似且面积最大的格点三角形,并画出其中一个(不需证明).

查看答案和解析>>

科目:初中数学 来源:【全国市毕业班适应性检测数学试卷 题型:填空题

两组数据:3,5,2a,b与b,6,a的平均数都是6,若将这两组数据合并为一组数据,则这组新数据的众数为________.

查看答案和解析>>

科目:初中数学 来源:江苏省灌云县西片2017届九年级下学期第二次月考(5月)数学试卷 题型:解答题

如图,在Rt△ABC中,∠A=90°,点D、E分别在AC、BC上,且CD·BC=AC·CE,以E为圆心,DE长为半径作圆,⊙E经过点B,与AB、BC分别交于点F、G.

(1)求证:AC是⊙E的切线;

(2)若AF=4,CG=5,

①求⊙E的半径;

②若Rt△ABC的内切圆圆心为I,则IE=

查看答案和解析>>

科目:初中数学 来源:江苏省2017届九年级5月学情了解(二模)数学试卷 题型:单选题

如图,抛物线与x轴一个交点为(-2,0),对称轴为直线x=1,则y<0时x的范围是( )

A. x>4或x<-2 B. -2<x<4 C. -2<x<3 D. 0<x<3

查看答案和解析>>

同步练习册答案