精英家教网 > 初中数学 > 题目详情

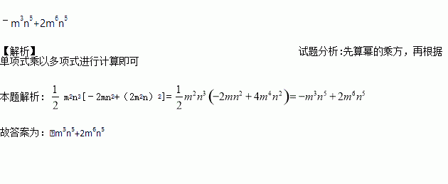
计算: m2n3[﹣2mn2+(2m2n)2]=_________.

练习册系列答案
相关习题

科目:初中数学 来源:2017届江苏省东台市第六教育联盟九年级下学期第一次月考数学试卷(解析版) 题型:填空题

因式分【解析】
ab﹣a =__.

查看答案和解析>>

科目:初中数学 来源:2017届内蒙古市赤峰市红山区九年级上学期期末学习评价数学试卷(解析版) 题型:解答题

一个质地均匀的小正方体,六个面分别标有数字“1”“2”“3”“4”“5”“6”. 连续两次抛掷小正方体,观察每次朝上一面的数字.

(1)请用列表格或画树状图的方法列举出两次抛掷的所有可能结果;

(2)求出第二次抛掷的数字大于第一次抛掷的数字的概率;

(3)求两次抛掷的数字之和为5的概率.

查看答案和解析>>

科目:初中数学 来源:2017届内蒙古市赤峰市红山区九年级上学期期末学习评价数学试卷(解析版) 题型:单选题

如图,A、B、C为⊙O上的任意三点,若∠BOC=100°,则∠BAC的度数为

A. 50° B. 80° C. 100° D. 130°

查看答案和解析>>

科目:初中数学 来源:2016-2017学年山东省滨州市邹平双语学校一二区八年级上学期期中考试数学试卷(解析版) 题型:解答题

计算:(1); (2).

查看答案和解析>>

科目:初中数学 来源:2016-2017学年山东省滨州市邹平双语学校一二区八年级上学期期中考试数学试卷(解析版) 题型:填空题

已知2m+5n﹣3=0,则4m×32n的值为____

查看答案和解析>>

科目:初中数学 来源:2016-2017学年山东省滨州市邹平双语学校一二区八年级上学期期中考试数学试卷(解析版) 题型:单选题

下列分式中,最简分式是(  )

A. B. C. D.

查看答案和解析>>

科目:初中数学 来源:2016-2017学年山东省滨州市邹平双语学校一二区八年级上学期期中考试数学试卷(解析版) 题型:填空题

将m3(x﹣2)+m(2﹣x)分解因式的结果是_______________.

查看答案和解析>>

科目:初中数学 来源:2016-2017学年江苏省苏州张家港市九年级第二学期第一次模拟数学试卷(解析版) 题型:单选题

相反数等于2的数是( )

A. 2 B. -2 C. ±2 D.

查看答案和解析>>

同步练习册答案