精英家教网 > 初中数学 > 题目详情

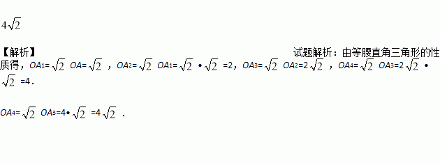
如图,在等腰Rt△OAA1中,∠OAA1=90°,OA=1,以OA1为直角边作等腰Rt△OA1A2,以OA2为直角边作等腰Rt△OA2A3,…则OA5的长度为_________.

练习册系列答案
相关习题

科目:初中数学 来源:2016-2017学年江苏省苏州张家港市九年级第二学期第一次模拟数学试卷(解析版) 题型:填空题

小明统计了他家今年5月份打电话的次数及通话时间,并列出了频数分布表:

通话时间/min

频数(通话次数)

20

16

9

5

则通话时间不超过1 0min的频率为_____________

查看答案和解析>>

科目:初中数学 来源:2017届山东省滨州市生学业水平模拟考试数学试卷(解析版) 题型:解答题

已知△ABC内接于⊙O,AC是⊙O的直径,D是的中点.过点D作CB的垂线,分别交CB、CA延长线于点F、E.
 

(1)判断直线EF与⊙O的位置关系,并说明理由;
(2)若CF=6,∠ACB=60°,求阴影部分的面积.

查看答案和解析>>

科目:初中数学 来源:2017届山东省滨州市生学业水平模拟考试数学试卷(解析版) 题型:单选题

已知一次函数y1=ax+c和反比例函数y2=的图象如图所示,则二次函数y3=ax2+bx+c的大致图象是(  )
 

A. B. C. D.

查看答案和解析>>

科目:初中数学 来源:2016-2017学年山东省临沂市临沭县八年级下学期期中考试数学试卷(解析版) 题型:解答题

如图,在△ABC中,AD是BC边上的中线,E是AD的中点,过点A作BC的平行线交BE的延长线于点F,连接CF.

(1)求证:AF=DC;

(2)若AB=AC,试判断四边形ADCF的形状,并证明你的结论.

查看答案和解析>>

科目:初中数学 来源:2016-2017学年山东省临沂市临沭县八年级下学期期中考试数学试卷(解析版) 题型:填空题

如图,矩形ABCD的对角线AC和BD相交于点O,过点O的直线分别交AD和BC于点E、F,AB=2,BC=3,则图中阴影部分的面积为______.

查看答案和解析>>

科目:初中数学 来源:2016-2017学年山东省临沂市临沭县八年级下学期期中考试数学试卷(解析版) 题型:单选题

菱形具有而矩形不一定具有的性质是(  )

A. 内角和等于360度 B. 对角相等 C. 对边平行且相等 D. 对角线互相垂直

查看答案和解析>>

科目:初中数学 来源:2016-2017学年山东省临沂市蒙阴县七年级下学期期中考试数学试卷(解析版) 题型:填空题

如图,想在河堤两岸搭建一座桥,图中搭建方式中,最短的是PB,理由______________.

查看答案和解析>>

科目:初中数学 来源:2017届河北省中考模拟数学试卷(4)(解析版) 题型:单选题

下列实数中的无理数是( )

A. 0.7 B. C. π D. -8

查看答案和解析>>

同步练习册答案