精英家教网 > 初中数学 > 题目详情

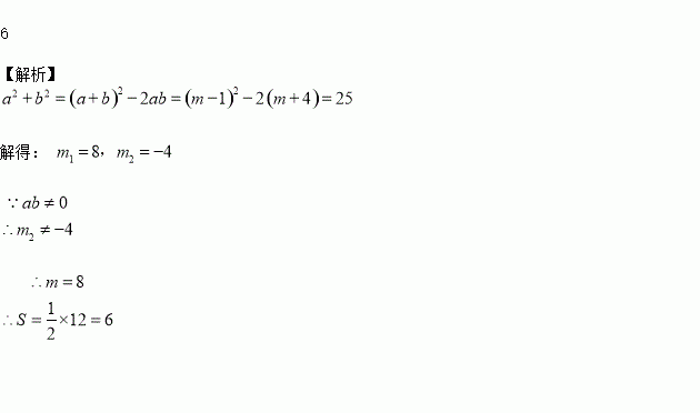
在Rt△ABC中,斜边AB=5厘米,BC=a厘米,AC=b厘米,a>b,且a、b是方程的两根,Rt△ABC的面积为________平方厘米.

练习册系列答案
相关习题

科目:初中数学 来源:2016-2017学年河南省周口市西华县八年级下学期期中考试数学试卷(解析版) 题型:填空题

如图,在Rt△ABC中,∠B=90°,AB=3,BC=4,将△ABC折叠,使点B恰好落在边AC上,与点B′重合,AE为折痕,则EB′=

查看答案和解析>>

科目:初中数学 来源:2016-2017学年江西省抚州市七年级下学期第一次月考数学试卷(解析版) 题型:解答题

化简求值:已知|x-2|+(y+1)2=0,求代数式的值.

查看答案和解析>>

科目:初中数学 来源:2016-2017学年江西省抚州市七年级下学期第一次月考数学试卷(解析版) 题型:单选题

在下列多项式的乘法中,可用平方差公式计算的是(  )

A. (2+a)(a+2) B. (a+b)(b-a)

C. (-x+y)(y-x) D. (x2+y)(x-y2)

查看答案和解析>>

科目:初中数学 来源:2017届江苏省沭阳县九年级下学期第一次月考数学试卷(解析版) 题型:解答题

如图是不倒翁的正视图,不倒翁的圆形脸恰好与帽子边沿PA、PB分别相切于点A、B,不倒翁的鼻尖正好是圆心O,若∠OAB=25°,求∠A PB的度数.

查看答案和解析>>

科目:初中数学 来源:2017届江苏省沭阳县九年级下学期第一次月考数学试卷(解析版) 题型:填空题

已知+│2x-y│=0,那么x - y的值为_______.

查看答案和解析>>

科目:初中数学 来源:2017届江苏省沭阳县九年级下学期第一次月考数学试卷(解析版) 题型:单选题

某部队一位新兵进行射击训练,连续射靶5次,命中的环数分别是0,2,5,2,7.这组数据的中位数与众数分别是( )

A. 2, 5 B. 2,2 C. 5,7 D. 2,7

查看答案和解析>>

科目:初中数学 来源:2015-2016学年浙江省桐乡市现代片区八年级下学期期中考试数学试卷(解析版) 题型:填空题

一运动员乘雪橇沿坡比1∶的斜坡笔直滑下,若下滑的垂直高度为1000米.则这名运动员滑到坡底的路程是______________米.

查看答案和解析>>

科目:初中数学 来源:2017届四川省中考模拟数学试卷(一)(解析版) 题型:单选题

已知△ABC的外接圆O的半径为3,AC=4,则sinB=(  )

A. B. C. D.

查看答案和解析>>

同步练习册答案