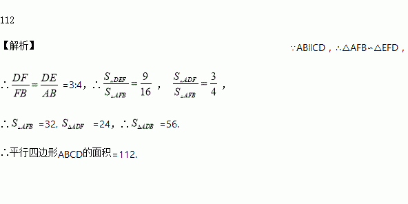
如图在□ABCD中,点E在边DC上,DE:EC=3:1,连接AE交BD于点F,若△DEF的面积为18,则□ABCD的面积为___________.
![]()
科目:初中数学 来源:山东省济宁市四校2017届九年级下学期中考联考模拟数学试卷 题型:单选题
在正方形ABCD中,点E为BC边的中点,把△ABE沿直线AE折叠,B点落在点B′处,B′B与AE交于点F,连接AB′,DB′,FC.下列结论:①AB′=AD;②△FCB′为等腰直角三角形;③∠CB′D=135°;④BB′=BC;⑤
.其中正确的个数为( ).
![]()
A. 2 B. 3 C. 4 D. 5
查看答案和解析>>
科目:初中数学 来源:[中学联盟]山东省临沂市青云镇中心中学2016-2017学年七年级5月阶段质量检测数学试卷 题型:单选题
以
为解的二元一次方程组是( )
A.
B.
C.
D. ![]()
查看答案和解析>>
科目:初中数学 来源:安徽六安市 2017年 九年级数学中考模拟试卷(含答案) 题型:解答题
如图山坡上有一根旗杆AB,旗杆底部B点到山脚C点的距离BC为
米,斜坡BC的坡度i=1:
.小明在山脚的平地F处测量旗杆的高,点C到测角仪EF的水平距离CF=1米,从E处测得旗杆顶部A的仰角为45°,旗杆底部B的仰角为20°.
(1)求坡角∠BCD;
(2)求旗杆AB的高度.
(参考数值:sin20°≈0.34,cos20°≈0.94,tan20°≈0.36)
![]()
查看答案和解析>>
科目:初中数学 来源:安徽六安市 2017年 九年级数学中考模拟试卷(含答案) 题型:单选题
如图,直线
与x轴、y轴分别交于点A和点B,点C、D分别为线段AB、OB的中点,点P为OA上一动点.PC+PD值最小时点P的坐标为( )
![]()
A. (-3,0) B. (-6,0 ) C. (-1.5,0) D. (-2.5,0)
查看答案和解析>>
科目:初中数学 来源:安徽六安市 2017年 九年级数学中考模拟试卷(含答案) 题型:单选题
下列计算正确的是( )
A. 2x+x=2x2 B. x2?x3=x5 C. (x2)3=x5 D. (2x)3=2x3
查看答案和解析>>
科目:初中数学 来源:湖北省许昌市襄城区2017中考数学模拟考试试卷(5月) 题型:单选题
如图,在菱形ABCD中,∠BAD=70°,AB的垂直平分线交对角线AC于点F,垂足为E,连接DF,则∠CDF等于:
![]()
A. 55° B. 65° C. 75° D. 85°
查看答案和解析>>
科目:初中数学 来源:[中学联盟]辽宁省大石桥市水源镇九年一贯制学校2016-2017学年八年级下学期期中考试数学试卷 题型:解答题
如图,已知在△ABC中,CD⊥AB于D,AC=20,BC=15,DB=9.
![]()
(1)求DC和AB的长;
(2)证明:∠ACB=90°.
查看答案和解析>>
湖北省互联网违法和不良信息举报平台 | 网上有害信息举报专区 | 电信诈骗举报专区 | 涉历史虚无主义有害信息举报专区 | 涉企侵权举报专区
违法和不良信息举报电话:027-86699610 举报邮箱:58377363@163.com