精英家教网 > 初中数学 > 题目详情

函数y =中自变量x的取值范围是

练习册系列答案
相关习题

科目:初中数学 来源:2017届甘肃兰州市九年级中考模拟数学试卷(解析版) 题型:选择题

在平面直角坐标系中,抛物线轴的交点的个数是( )

A.3 B.2 C.1 D.0

查看答案和解析>>

科目:初中数学 来源:2017届广东省汕头市澄海区九年级5月中考模拟数学试卷(解析版) 题型:填空题

如图,在△ABC中,∠ACB=90°,AC=BC=4,将△ABC折叠,使点A落在BC边上的点D处,EF为折痕,若AE=3,则sin∠BFD的值为_______.

查看答案和解析>>

科目:初中数学 来源:2017届福建省九年级下学期第二次质量检测数学试卷(解析版) 题型:解答题

(10分)已知⊙O为△ABC的外接圆,圆心O在AB上.

(1)在图1中,用尺规作图作∠BAC的平分线AD交⊙O于D(保留作图痕迹,不写作法与证明);

(2)如图2,设∠BAC的平分线AD交BC于E,⊙O半径为5,AC=4,连接OD交BC于F.

①求证:OD⊥BC;

②求EF的长.

查看答案和解析>>

科目:初中数学 来源:2017届福建省九年级下学期第二次质量检测数学试卷(解析版) 题型:填空题

如图,正方形ABCD的边长是16,点E在边AB上,AE=3,点F是边BC上不与点B、C重合的一个动点,把△EBF沿EF折叠,点B落在B′处,若△CDB′ 恰为等腰三角形,则DB′ 的长为

查看答案和解析>>

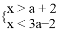
科目:初中数学 来源:2017届福建省九年级下学期第二次质量检测数学试卷(解析版) 题型:单选题

不等式组的解集为(  )

A. B. C. D.

查看答案和解析>>

科目:初中数学 来源:2017届安徽六安叶集区桥店中学九年级中考模拟数学试卷(解析版) 题型:解答题

如图,已知抛物线经过点A(-1,0)、B(3,0)、C(0,3)三点.

(1)求抛物线的解析式.

(2)点M是线段BC上的点(不与B,C重合),过M作MN∥y轴交抛物线于N,若点M的横坐标为m,请用m的代数式表示MN的长.

(3)在(2)的条件下,连接NB、NC,是否存在m,使△BNC的面积最大?若存在,求m的值;若不存在,说明理由.

查看答案和解析>>

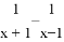
科目:初中数学 来源:2017届安徽六安叶集区桥店中学九年级中考模拟数学试卷(解析版) 题型:单选题

化简,可得( )

A. B. C. D.

查看答案和解析>>

科目:初中数学 来源:2016-2017学年安徽省宁国市D片七年级下学期期中联考数学试卷(解析版) 题型:单选题

不等式组 无解,则常数的取值范围是( )

A. B. C. D.

查看答案和解析>>

同步练习册答案