精英家教网 > 初中数学 > 题目详情

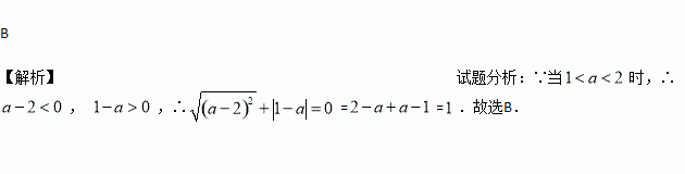
当1<a<2时,代数式的值是( )

A. —1 B. 1 C. D.

练习册系列答案
相关习题

科目:初中数学 来源:2016-2017学年江苏省无锡市惠山区七年级下学期期中考试数学试卷(解析版) 题型:解答题

在△ABC中,∠ACB=90°,BD是△ABC的角平分线,P是射线AC上任意一点 (不与A、D、C三点重合),过点P作PQ⊥AB,垂足为Q,交线段BD于E.

(1)如图①,当点P在线段AC上时,说明∠PDE=∠PED.

(2)画出∠CPQ的角平分线交线段AB于点F,则PF与BD有怎样的位置关系?画出图形并说明理由.

查看答案和解析>>

科目:初中数学 来源:[中学联盟]浙江省台州市书生中学2017届九年级下学期期中考试数学试卷 题型:单选题

如图,已知在Rt△ABC中,AB=AC=2,在△ABC内作第一个内接正方形DEFG;然后取GF的中点P,连接PD、PE,在△PDE内作第二个内接正方形HIKJ;再取线段KJ的中点Q,在△QHI内作第三个内接正方形…依次进行下去,则第n个内接正方形的边长为(  )

A. B. C. D.

查看答案和解析>>

科目:初中数学 来源:[首发]江苏省兴化市顾庄学区三校2016-2017学年八年级下学期期中考试数学试卷 题型:解答题

解方程:(1); (2)

查看答案和解析>>

科目:初中数学 来源:[首发]江苏省兴化市顾庄学区三校2016-2017学年八年级下学期期中考试数学试卷 题型:填空题

近视眼镜的度数y(度)与镜片焦距x(米)成反比例,已知400度近视眼镜镜片的焦距为0.25米,则眼镜度数y与镜片焦距x之间的函数关系式为 .

查看答案和解析>>

科目:初中数学 来源:[首发]江苏省兴化市顾庄学区三校2016-2017学年八年级下学期期中考试数学试卷 题型:单选题

把分式中的a、b、c的值都扩大为原来的3倍,那么这个分式的值( )

A. 不变 B. 变为原来的3倍

C. 变为原来的 D. 变为原来的

查看答案和解析>>

科目:初中数学 来源:2017届辽宁省营口市九年级下学期结课测试数学试卷(解析版) 题型:单选题

如图在Rt△ABC中,∠ACB=90°,∠BAC=30°,AB=2,D是AB边上的一个动点(不与点A、B重合),过点D作CD的垂线交射线CA于点E.设AD=x,CE=y,则下列图象中,能表示y与x的函数关系图象大致是(  )

A. B. C. D.

查看答案和解析>>

科目:初中数学 来源:2016-2017学年度第二学期海南省定安县八年级期中数学试卷(解析版) 题型:填空题

如图,P是双曲线上一点,且图中的阴影部分的面积为3,则此反比例函数的解析式为________

查看答案和解析>>

科目:初中数学 来源:2016-2017学年山东省日照市莒县2016-2017学年七年级下学期期中考试数学试卷(解析版) 题型:解答题

已知关于x,y的二元一次方程组的解适合方程,求n的值.

查看答案和解析>>

同步练习册答案