精英家教网 > 初中数学 > 题目详情

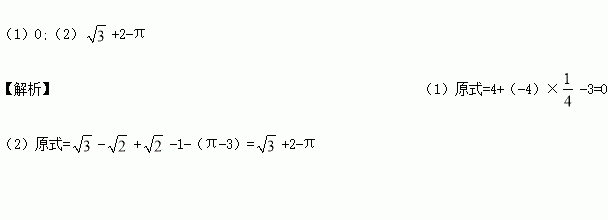
计算

(1);(2)

练习册系列答案
相关习题

科目:初中数学 来源:江苏省2017届九年级5月学情了解(二模)数学试卷 题型:填空题

如图,AB为⊙O直径,已知∠DCB=20°,则∠DBA为__________.

查看答案和解析>>

科目:初中数学 来源:【全国区级联考】福建省仙游县第六片区2017届九年级毕业模拟数学试卷 题型:解答题

在⊙O中,AB是直径,AC是切线且AC=AB,联结BC交⊙O于点D,试仅用无刻度直尺,作以D为切点的⊙O的切线DT。

查看答案和解析>>

科目:初中数学 来源:【全国区级联考】福建省仙游县第六片区2017届九年级毕业模拟数学试卷 题型:单选题

下列图形中,既是轴对称图形,又是中心对称图形的是( ).

A. B. C. D.

查看答案和解析>>

科目:初中数学 来源:[中学联盟]四川省南充市第五中学2016-2017学年七年级下学期期中考试数学试卷 题型:解答题

如图,把△ABC平移得到△DEF,使点A(-4,1)与点D(1,-2)对应。其B(-1,3),C(-2,0)

(1)画出△DEF,并写出B,C的对应点E,F的坐标.

(2)求△ABC的面积.

(3)在X轴上找一点P,使△PAC和△ABC的面积相等。直接写出P点坐标____________。

查看答案和解析>>

科目:初中数学 来源:[中学联盟]四川省南充市第五中学2016-2017学年七年级下学期期中考试数学试卷 题型:填空题

若方程组的解满足x+y=7,a=____________.

查看答案和解析>>

科目:初中数学 来源:[中学联盟]四川省南充市第五中学2016-2017学年七年级下学期期中考试数学试卷 题型:单选题

从估算的值是在(   ).

A. 之间 B. 之间 C. 之间 D. 之间

查看答案和解析>>

科目:初中数学 来源:[中学联盟]重庆市第四十二中学2016-2017学年七年级下学期期中考试数学试卷 题型:填空题

如图,在平面直角坐标系上有个点P(1,0),点P第1次向上跳动1个单位至点P1(1,1),紧接着第2次向左跳动2个单位至点P2(﹣1,1),第3次向上跳动1个单位,第4次向右跳动3个单位,第5次又向上跳动1个单位,第6次向左跳动4个单位,…依此规律跳动下去,P4的坐标是 ,点P第8次跳动至P8的坐标为 ;则点P第256次跳动至P256的坐标是

查看答案和解析>>

科目:初中数学 来源:浙江省杭州市2016-2017学年七年级下学期期中考试(4月)数学试卷 题型:解答题

如图,已知直线l1∥l2,直线l3和直线l1、l2交于点C和D,在直线CD上有一点P.

(1)如果P点在C、D之间运动时,问∠PAC,∠APB,∠PBD有怎样的数量关系?请说明理由.

(2)若点P在C、D两点的外侧运动时(P点与点C、D不重合),试探索∠PAC,∠APB,∠PBD之间的关系又是如何?

查看答案和解析>>

同步练习册答案