精英家教网 > 初中数学 > 题目详情

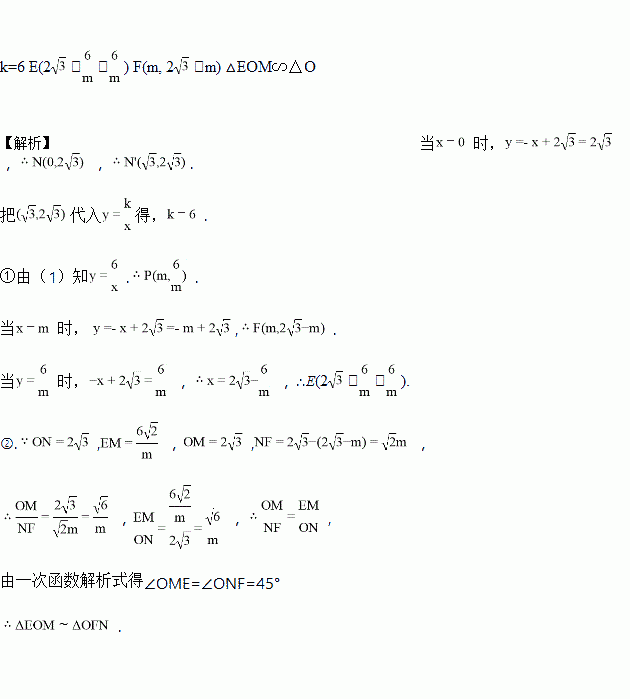
如图,已知直线与x、y轴交于M、N,若将N向右平移个单位后的N,,恰好落在反比例函数的图像上.

(1)求k的值;

(2)点P为双曲线上的一个动点,过点P作直线PA⊥x轴于A点,交NM延长线于F点,过P点作PB⊥y轴于B交MN于点E.设点P的横坐标为m.

①用含有m的代数式表示点E、F的坐标

②找出图中与△EOM 相似的三角形,并说明理由.

练习册系列答案
相关习题

科目:初中数学 来源:四川省广安市岳池县2016-2017学年七年级下学期期末考试数学试卷 题型:填空题

任何实数a,可用[a]表示不超过a的最大整数,如[2]=2,[3.7]=3,现对72进行如下操作:

这样对72只需进行3次操作后变为1,类似地:对109只需进行__________次操作后变为1.

查看答案和解析>>

科目:初中数学 来源:四川省广安市岳池县2016-2017学年七年级下学期期末考试数学试卷 题型:单选题

下列命题中,是真命题的是( )

A. 两条直线被第三条直线所截,同位角相等

B. 相等的角是对顶角

C. 同旁内角互补,两直线平行

D. 互补的两个角一定有一个锐角,一个钝角

查看答案和解析>>

科目:初中数学 来源:山东省淄博市2017届九年级下学期期中考试数学试卷 题型:单选题

若关于x的一元二次方程的常数项是0,则m的值是( ).

A. 1 B. 2 C. 1或2 D. 0

查看答案和解析>>

科目:初中数学 来源:山东省淄博市2017届九年级下学期期中考试数学试卷 题型:单选题

方程的解是( )

A. B. C. D.

查看答案和解析>>

科目:初中数学 来源:江苏省泰兴市2016-2017学年八年级下学期期末考试数学试卷 题型:解答题

某校为迎接体育中考,了解学生的体育情况,学校随机调查了本校九年级50名学生“30秒跳绳”的次数,并将调查所得的数据整理如下:

根据以上图表信息,解答下列问题:

(1)表中的a= ,m=

(2)请把频数分布直方图补充完整;(画图后请标注相应的数据)

(3)若该校九年级共有600名学生,请你估计“30秒跳绳”的次数60次以上(含60次)的学生有多少人?

查看答案和解析>>

科目:初中数学 来源:江苏省泰兴市2016-2017学年八年级下学期期末考试数学试卷 题型:填空题

如图,一次函数与反比例函数的图像交于A、B两点,则的解集是_______________

查看答案和解析>>

科目:初中数学 来源:江苏省兴化市顾庄学区三校2016-2017学年八年级下学期期末考试数学试卷 题型:解答题

花鸟市场一家店铺正销售一批兰花,每盆进价100元,售价为140元,平均每天可售出20盆.为扩大销量,增加利润,该店决定适当降价.据调查,每盆兰花每降价1元,每天可多售出2盆. 要使得每天利润达到1200元,则每盆兰花售价应定为多少元?

查看答案和解析>>

科目:初中数学 来源:四川省巴中市南江县2016-2017学年八年级下学期期末考试数学试卷 题型:填空题

数据5,4,4,3,4,3,2,3,5,3的平均数为a,众数为b,中位数为c,则a、b、c的大小关系是____________________。

查看答案和解析>>

同步练习册答案