精英家教网 > 初中数学 > 题目详情

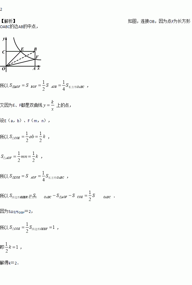
如图,已知双曲线(x>0)经过长方形OABC的边AB的中点F,交BC于点E,且四边形OEBF的面积为2,求k的值.

练习册系列答案
相关习题

科目:初中数学 来源:2014-2015学年河北省石家庄市裕华区中考模拟数学试卷(解析版) 题型:选择题

抛物线y=ax2+bx+c图象如图所示,则一次函数y=-bx-4ac+b2与反比例函数y=在同一坐标系内的图象大致为( )

查看答案和解析>>

科目:初中数学 来源:2014-2015学年福建省福安市九年级下学期质量检测数学试卷(解析版) 题型:解答题

如图, 已知二次函数的图像过点O(0,0), A(4,0),B(),M是OA的中点.

(1)求此二次函数的解析式;

(2)设P是抛物线上的一点,过P作轴的平行线与抛物线交于另一点Q,要使四边形PQAM是菱形,求P点的坐标;

(3)将抛物线在轴下方的部分沿轴向上翻折,得曲线OB′A(B′为B关于轴的对称点),在原抛物线轴的上方部分取一点C,连接CM,CM与翻折后的曲线OB′A交于点D,若△CDA的面积是△MDA面积的2倍,这样的点C是否存在?若存在求出C点的坐标,若不存在,请说明理由.

查看答案和解析>>

科目:初中数学 来源:2014-2015学年福建省福安市九年级下学期质量检测数学试卷(解析版) 题型:选择题

如图,在平面直角坐标系中,点A(2,m)在第一象限.若点A关于x轴的对称点B在直线y= -x+1上,则m的值为( )

A.-1 B.1 C.2 D.3

查看答案和解析>>

科目:初中数学 来源:2014-2015学年福建省福安市九年级下学期质量检测数学试卷(解析版) 题型:选择题

等于 ( )

A.2 B.-2 C. D.

查看答案和解析>>

科目:初中数学 来源:2015年人教版初中数学九年级期中测试卷(解析版) 题型:填空题

(2014上海)已知反比例函数(k是常数,k≠0),在其图象所在的每个象限内,y的值随着x的值的增大而增大,那么这个反比例函数的解析式可以是________(只需写一个).

查看答案和解析>>

科目:初中数学 来源:2015年人教版初中数学九年级期中测试卷(解析版) 题型:选择题

(2014河北)定义新运算:例如:.则函数y=2⊕x(x≠0)的图象大致是(  )

A.

B.

C.

D.

查看答案和解析>>

科目:初中数学 来源:2015年人教版初中数学九年级期末测试卷(解析版) 题型:填空题

(2014四川宜宾)如图,在Rt△ABC中,∠B=90°,AB=3,BC=4,将△ABC折叠,使点B恰好落在斜边AC上,与点B′重合,AE为折痕,则EB′=________.

查看答案和解析>>

科目:初中数学 来源:2015年人教版初中数学九年级29.2练习卷(解析版) 题型:选择题

(2014四川达州)小颖同学到学校领来n盒粉笔,整齐地摞在讲桌上,其三视图如图所示,则n的值是( )

A.6

B.7

C.8

D.9

查看答案和解析>>

同步练习册答案