精英家教网 > 初中数学 > 题目详情
在分母小于15的最简分数中,比大并且最接近的是哪一个?
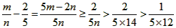
解:设所求的分数为,(m,n)=1,n<15。因为-=
由题目要求,取m、n使右边式子大于0,且为最小,若5m-2n=1,则m=当n<15时,使m为整数的最大整数n是12,此时,m=5,差为。若5m-2n≠1,则。故此大并且最接近的是
练习册系列答案
相关习题

科目:初中数学 来源: 题型:

小于10且分母为36的最简分数有多少个?

查看答案和解析>>

科目:初中数学 来源: 题型:013

下列说法中正确的是

[  ]

A.分数比整数小

B.大于且小于的分数有无数个

C.如果甲数大于乙数,则甲数的相反数大于乙数的相反数

D.分母是5的最简分数只有4个

查看答案和解析>>

科目:初中数学 来源: 题型:044

请你写出大于而小于分母为60的最简分数.

查看答案和解析>>

科目:初中数学 来源:2012年上海市兰生复旦中学理科班教程:质数与合数(解析版) 题型:解答题

小于10且分母为36的最简分数有多少个?

查看答案和解析>>

同步练习册答案