精英家教网 > 初中数学 > 题目详情

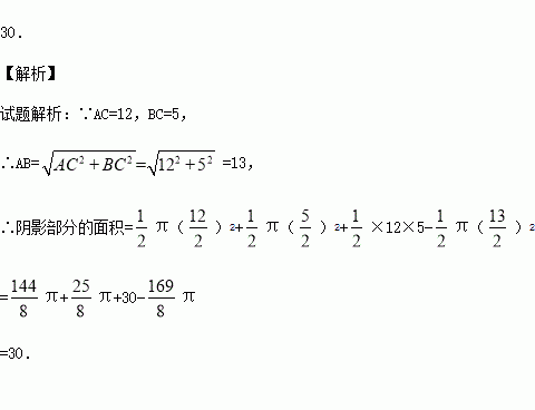
如图Rt△ABC中,AC=12,BC=5,分别以AB,AC,BC为直径作半圆,则图中阴影部分的面积为___________。

练习册系列答案
相关习题

科目:初中数学 来源:2015-2016学年江苏省江阴市八年级下第一次月考数学试卷(解析版) 题型:选择题

矩形的一个内角平分线把矩形的一条边分成3cm和5cm两部分,则矩形的周长( )

A.16cm B.22cm和16cm C.26cm D.22cm和26cm

查看答案和解析>>

科目:初中数学 来源:2016届福建省仙游县第六片区九年级上学期期末考试数学试卷(解析版) 题型:解答题

解方程 :2x2-x-1=0。

查看答案和解析>>

科目:初中数学 来源:2016届福建省仙游县第六片区九年级上学期期末考试数学试卷(解析版) 题型:选择题

下列电视台的台标是中心对称图形是( )

查看答案和解析>>

科目:初中数学 来源:2015-2016学年福建省莆田市仙游县五校八年级下第一次月考数学卷(解析版) 题型:解答题

先化简,再求值,其中.

查看答案和解析>>

科目:初中数学 来源:2015-2016学年福建省莆田市仙游县五校八年级下第一次月考数学卷(解析版) 题型:选择题

如图,在平行四边形ABCD中,AB=4,∠BAD的平分线与BC的延长线交于点E,与DC交于点F,且点F为边DC的中点,DG⊥AE,垂足为G,若DG=1,则AE的边长为( )

A、 B、8 C、 D、

查看答案和解析>>

科目:初中数学 来源:2015-2016学年福建省莆田市仙游县五校八年级下第一次月考数学卷(解析版) 题型:选择题

下列根式中是最简二次根式的有( )个。

A、1 B、2 C、3 D、4

查看答案和解析>>

科目:初中数学 来源:2015-2016学年甘肃省八年级下学期第一次月考数学试卷(解析版) 题型:填空题

不等式9-4x>0的非负整数解之和是 .

查看答案和解析>>

科目:初中数学 来源:2015-2016学年江苏省无锡市滨湖区八年级上学期期末考试数学试卷(解析版) 题型:选择题

在以下绿色食品、回收、节能、节水四个标志中,是轴对称图形的是( )

查看答案和解析>>

同步练习册答案