精英家教网 > 初中数学 > 题目详情
(2005•烟台)先阅读下面材料,然后解答问题:
王老师在黑板上出了这样一道习题:设方程2x2-5x+k=0的两个实数根是x1,x2,请你选取一个适当的k值,求的值.
小明同学取k=4,则方程是2x2-5x+4=0.
由根与系数的关系,得x1+x2=,x1x2=2.


问题(1):请你对小明解答的正误作出判断,并说明理由.
问题(2):请你另取一个适当的正整数k,其它条件不变,不解方程,改求|x1-x2|的值.
【答案】分析:(1)使用根与系数的关系列式计算时要先判断该方程是否存在实根,然后再代入数值计算;
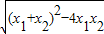
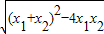
(2)要求|x1-x2|的值可以把它变形为|x1-x2|=,然后利用根与系数的关系即可求出值.
解答:解:(1)小明的解法是错误的.
∵当k=4时,△=25-4×2×4=25-32=-7<0,
∴方程2x2-5x+4=0没有实数根,
本题无解.
所以他选择的k不正确;

(2)(本题答案不唯一,k可以取1、2、3)
如:取k=3时,方程2x2-5x+3=0
∴△=25-4×2×3=25-24=1>0
由根与系数关系得
x1+x2=,x1x2=
∴|x1-x2|==
点评:解题时一定要认真审题,周密考虑问题.在利用根与系数的关系解决问题时经常与根的判别式相联系.
练习册系列答案
相关习题

科目:初中数学 来源:2005年全国中考数学试题汇编《锐角三角函数》(04)(解析版) 题型:解答题

(2005•烟台)先化简,再求值:,其中x=2(cot45°-cos30°).

查看答案和解析>>

科目:初中数学 来源:2005年全国中考数学试题汇编《一元二次方程》(05)(解析版) 题型:解答题

(2005•烟台)先阅读下面材料,然后解答问题:
王老师在黑板上出了这样一道习题:设方程2x2-5x+k=0的两个实数根是x1,x2,请你选取一个适当的k值,求的值.
小明同学取k=4,则方程是2x2-5x+4=0.
由根与系数的关系,得x1+x2=,x1x2=2.


问题(1):请你对小明解答的正误作出判断,并说明理由.
问题(2):请你另取一个适当的正整数k,其它条件不变,不解方程,改求|x1-x2|的值.

查看答案和解析>>

科目:初中数学 来源:2005年全国中考数学试题汇编《分式》(05)(解析版) 题型:解答题

(2005•烟台)先化简,再求值:,其中x=2(cot45°-cos30°).

查看答案和解析>>

科目:初中数学 来源:2009年河南省中招数学模拟试卷(2)(解析版) 题型:解答题

(2005•烟台)先阅读下面材料,然后解答问题:
王老师在黑板上出了这样一道习题:设方程2x2-5x+k=0的两个实数根是x1,x2,请你选取一个适当的k值,求的值.
小明同学取k=4,则方程是2x2-5x+4=0.
由根与系数的关系,得x1+x2=,x1x2=2.


问题(1):请你对小明解答的正误作出判断,并说明理由.
问题(2):请你另取一个适当的正整数k,其它条件不变,不解方程,改求|x1-x2|的值.

查看答案和解析>>

科目:初中数学 来源:2005年山东省烟台市中考数学试卷(解析版) 题型:解答题

(2005•烟台)先阅读下面材料,然后解答问题:
王老师在黑板上出了这样一道习题:设方程2x2-5x+k=0的两个实数根是x1,x2,请你选取一个适当的k值,求的值.
小明同学取k=4,则方程是2x2-5x+4=0.
由根与系数的关系,得x1+x2=,x1x2=2.


问题(1):请你对小明解答的正误作出判断,并说明理由.
问题(2):请你另取一个适当的正整数k,其它条件不变,不解方程,改求|x1-x2|的值.

查看答案和解析>>

同步练习册答案