精英家教网 > 初中数学 > 题目详情

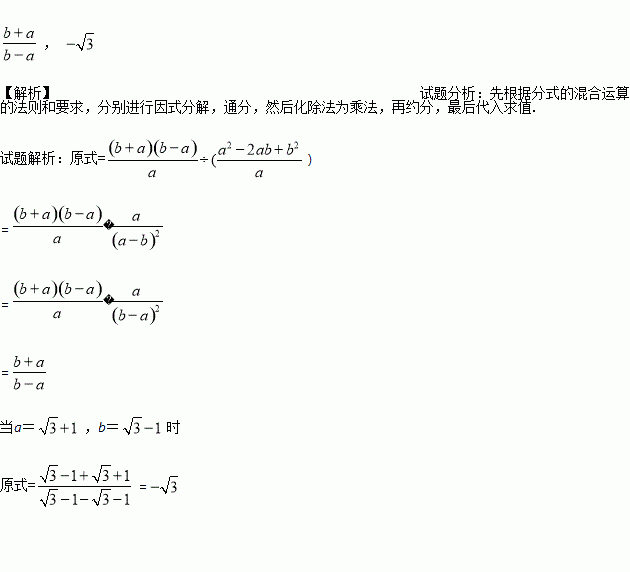
先化简,再求值: ,其中a=,b=

练习册系列答案
相关习题

科目:初中数学 来源:2016-2017学年江西省宜春市丰城市八年级下学期期中考试数学试卷(解析版) 题型:解答题

如图所示,在菱形ABCD中,∠BAD=120º,AB=4.求:菱形ABCD对角线AC,BD的长

查看答案和解析>>

科目:初中数学 来源:四川省自贡市富顺县骑龙镇柑坳九年制学校2017年九年级下学期期中考试英语试卷 题型:解答题

学校计划用地面砖铺设教学楼前矩形广场的地面ABCD已知矩形广场地面的长为100米,宽为80米.图案设计如图所示:广场的四角为小正方形,阴影部分为四个矩形,四个矩形的宽都为小正方形的边长,阴影部分铺绿色地面砖,其余部分铺白色地面砖.

(1)要使铺白色地面砖的面积为5200平方米,则矩形广场四角的小正方形的边长为多少米?

(2)如果铺白色地面砖的费用为每平方米30元,铺绿色地面砖的费用为每平方米20元.当广场四角小正方形的边长为多少米时,铺广场地面的总费用最少?最少费用是多少?

查看答案和解析>>

科目:初中数学 来源:四川省自贡市富顺县骑龙镇柑坳九年制学校2017年九年级下学期期中考试英语试卷 题型:单选题

如图,是由几个小立方体所搭成的几何体的俯视图,小正方形中的数字表示在该位置上的立方体的个数,这个几何体的正视图是( )

A. B. C. D.

查看答案和解析>>

科目:初中数学 来源:【全国校级联考】广东省深州市2017届初三七校联考数学试卷 题型:解答题

(0, .

(1)求抛物线的解析式.

(2)抛物线与轴交于另一个交点为C,点D在线段AC上,已知AD=AB,若动点P从A出发沿线段AC以每秒1个单位长度的速度匀速运动,同时另一个动点Q以某一速度从B出发沿线段BC匀速运动,问是否存在某一时刻,使线段PQ被直线BD垂直平分,若存在,求出点Q的运动速度;若不存在,请说明理由.

(3)在(2)的前提下,过点B的直线轴的负半轴交于点M,是否存在点M,使以A、B、M为顶点的三角形与相似,如果存在,请直接写出M的坐标;若不存在,请说明理由.

查看答案和解析>>

科目:初中数学 来源:【全国校级联考】广东省深州市2017届初三七校联考数学试卷 题型:填空题

分解因式得___________.

查看答案和解析>>

科目:初中数学 来源:【全国校级联考】广东省深州市2017届初三七校联考数学试卷 题型:单选题

直线

A. 15 B. 20

C. 25 D. 30

查看答案和解析>>

科目:初中数学 来源:【全国区级联考】北京市燕山区2017届九年级一模考试数学试卷 题型:解答题

解不等式组:

查看答案和解析>>

科目:初中数学 来源:福建省2016-2017学年七年级(下)期末模拟数学试卷 题型:单选题

下列调查中,适合进行普查的是(  )

A. 《新闻联播》电视栏目的收视率

B. 我国中小学生喜欢上数学课的人数

C. 一批灯泡的使用寿命

D. 一个班级学生的体重

查看答案和解析>>

同步练习册答案